Đề thi học kì 2 môn Toán lớp 7 phòng GD&ĐT Tam Đảo, Vĩnh Phúc năm 2015 - 2016
Đề thi học kì 2 môn Toán lớp 7
Đề thi học kì 2 môn Toán lớp 7 phòng GD&ĐT Tam Đảo, Vĩnh Phúc năm 2015 - 2016 là tài liệu luyện thi học kỳ 2 lớp 7 rất hiệu quả. Đây cũng là tài liệu tham khảo môn Toán giúp các bạn học sinh lớp 7 ôn tập lại kiến thức, nhằm học tập môn Toán tốt hơn, đạt điểm cao trong bài thi giữa kì, thi cuối kì. Mời các bạn tham khảo.
Đề thi học kì 2 môn Ngữ văn lớp 7 phòng GD&ĐT Tam Đảo, Vĩnh Phúc năm 2015 - 2016
Đề thi học kì 2 môn Lịch sử lớp 7 phòng GD&ĐT Cam Lộ, Quảng Trị năm 2015 - 2016
| PHÒNG GD&ĐT TAM ĐẢO | ĐỀ KIỂM TRA HỌC KÌ II NĂM HỌC 2015-2016 MÔN: TOÁN 7 Thời gian: 90 phút ( không tính thời gian giao đề) |
Phần I. TRẮC NGHIỆM KHÁCH QUAN (3,0 điểm)
Chọn câu trả lời đúng nhất trong các câu sau:
Câu 1. Cho ΔABC có AB = 7 cm, AC = 5 cm, BC = 9 cm. So sánh nào sao đây là đúng?
A. ∠A> ∠B> ∠C
B. ∠B> ∠A> ∠C
C. ∠A> ∠C> ∠B
D. ∠C> ∠B> ∠A
Câu 2. Đa thức 5x2y2 – 10y2 có bậc là:
A. 1 B. 2 C. 3 D. 4
Câu 3. ΔABC cân tại A có B = 50o. Số đo của là:
A. 80o B. 50o C. 70o D. 60o
Câu 4. Đa thức 3x + 15 có nghiệm là:
A. - 3 B. - 5 C. 3 D. 5
Câu 5. Biểu thức nào sau đây là đơn thức?
![]()
Câu 6. Bộ ba độ dài đoạn thẳng nào sau đây không phải là ba cạnh của một tam giác?
A. 2 cm; 3 cm; 4 cm B. 12 cm; 14 cm; 16 cm
C. 9 cm; 12 cm; 22 cm D. 7 cm; 8 cm; 9 cm
Phần II. TỰ LUẬN (7,0 điểm)
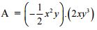
Câu 7 (2,0 điểm). Cho đơn thức ![]()
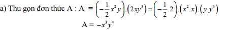
a) Thu gọn đơn thức A.
b) Xác định phần hệ số, phần biến, bậc của đơn thức.
c) Tính giá trị của A tại x = 1 và y = - 1.
Câu 8 (2,0 điểm). Cho hai đa thức sau:
P(x) = - 3x2 + 5 – 4x4 + 2x – 5x3
và Q(x) = 2x4 + 6x – 7x2 + 7x3 – 9
a) Hãy sắp xếp các hạng tử của mỗi đa thức trên theo luỹ thừa giảm dần của biến.
b) Tính P(x) + Q(x) và P(x) – Q(x).
Câu 9 (3,0 điểm). Cho tam giác ABC cân tại A, H là trung điểm của BC.
a) Chứng minh: ΔAHB = ΔAHC.
b) Vẽ HE⊥ AB; HF ⊥AC (E ∈ AB; F ∈ AC). Chứng minh HE = HF.
c) Biết số đo ∠BAH = 40o. Tính số đo ∠AHE.
d) Giả sử AB = 5 cm, BC = 6 cm. Tính AH.
Đáp án đề thi học kì 2 môn Toán lớp 7
Đề thi học kì 2 môn Địa lý lớp 7 phòng GD&ĐT Cam Lộ, Quảng Trị năm 2015 - 2016
Đề thi học kì 2 môn Toán lớp 7 phòng GD&ĐT Cam Lộ, Quảng Trị năm 2015 - 2016
PHẦN I. Trắc nghiệm khánh quan (3,0 điểm).
Học sinh chọn đúng mỗi câu được 0,5 điểm
| Câu | 1 | 2 | 3 | 4 | 5 | 6 |
| Đáp án | C | D | A | B | B | C |
Phần II. Tự luận (7 điểm)
Câu 7:

b) Xác định phần hệ số, phần biến, bậc của đơn thức.
Phần hệ số: - 1
Phần biến: x3y4
Bậc của đơn thức: 7
c) Tính giá trị của A tại x = 1 và y = - 1
A = - (1)3(-1)4 = -1.1 = -1
Câu 8:
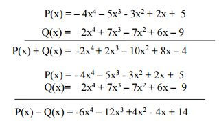
a) P(x) = – 4x4 – 5x3 - 3x2 + 2x + 5
Q(x) = 2x4 + 7x3 – 7x2 + 6x – 9
b)

Câu 9:

a) Chứng minh ΔAHB = ΔAHC
Xét ΔHAB và ΔHAC có
AB = AC (Vì ABC cân tại A)
∠B = ∠C (Vì ABC cân tại A)
HB = HC (Vì H là trung điểm của BC)
Vậy ΔHAB = ΔHAC (c – g – c)
b) Xét ΔBEH và ΔCFH có:
HB = HC (Vì H là trung điểm của BC)
∠B = ∠C (Vì ΔABC cân tại A)
∠BEH = ∠CFH = 90o (gt)
Vậy ΔBEH = ΔCFH (cạnh huyền – góc nhọn)
=> HE = HF
c) Biết số đo ∠BAH= 40o. Tính số đo ∠AHE = ?
Xét ΔAHE vuông tại E có: ∠BAH + ∠AHE = 90o.
40o + ∠AHE = 90o => ∠AHE = 90o – 40o = 50o
d)
Ta có ABC cân tại A có AH là đường trung tuyến nên AH cũng là đường cao. Vậy AHB vuông tại H.
Có: BH = HC = BC/2 = 6/2 = 3 cm
Áp dụng Pytago vào ΔAHB ta có:
AH2 + BH2 = AB2 => AH2 + 32 = 52
=> AH2 = 25 - 9 = 16 => AH = 4cm