Đề thi học kì 2 môn Toán lớp 7 phòng GD&ĐT Cam Lộ, Quảng Trị năm 2015 - 2016
Đề thi học kì 2 môn Toán lớp 7
Đề thi học kì 2 môn Toán lớp 7 phòng GD&ĐT Cam Lộ, Quảng Trị năm 2015 - 2016 là tài liệu luyện thi học kỳ 2 lớp 7 rất hiệu quả. Đây cũng là tài liệu tham khảo môn Toán giúp các bạn học sinh lớp 7 ôn tập lại kiến thức, nhằm học tập môn Toán tốt hơn, đạt điểm cao trong bài thi giữa kì, thi cuối kì. Mời các bạn tham khảo.
Đề thi học kì 2 môn Địa lý lớp 7 phòng GD&ĐT Cam Lộ, Quảng Trị năm 2015 - 2016
Đề thi học kì 2 môn Ngữ văn lớp 7 trường THCS Cao Viên, Thanh Oai năm 2015 - 2016
PHÒNG GD& ĐT CAM LỘ
ĐỀ KIỂM TRA CHẤT LƯỢNG HỌC KỲ II
Năm học: 2015 - 2016
Môn: TOÁN 7
Thời gian: 90 phút (không kể thời gian giao đề)
Bài 1 (2,0 điểm): Điểm kiểm tra một tiết môn Toán của 30 học sinh lớp 7A được ghi lại trong bảng sau:
a) Lập bảng tần số.
b) Tính điểm trung bình các bài kiểm tra và tìm mốt của dấu hiệu.
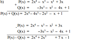
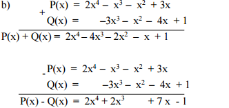
Bài 2 (2,0 điểm): Cho hai đa thức:
P(x) = – x2 + 3x – x3 + 2x4
Q(x) = – 4x – 3x3 – x2 + 1
a) Sắp xếp các hạng tử của mỗi đa thức theo lũy thừa giảm dần của biến.
b) Tính P(x) + Q(x) và P(x) - Q(x).
Bài 3 (1,5 điểm) Tính:
a) 10x + 5x + 2016x
b) (4x2y).(-5xy3)2
Bài 4 (3,5 điểm): Cho ΔABC cân tại A, AI là đường phân giác (I ∈ BC).
a) Chứng minh: ΔABI = ΔACI.
b) Chứng minh: AI là đường trung tuyến của ΔABC.
c) Gọi G là trọng tâm của ABC. Tính AG biết AI = 9cm.
d) Kẻ BK ⊥ AC (K ∈ AC) cắt AI tại H. Chứng minh CH ⊥ AB
Bài 5 (1,0 điểm): Cho hai đa thức sau:
f(x) = 3x + 3
g(x) = ax2 - 2
a) Tìm nghiệm của đa thức f(x).
b) Xác định a biết nghiệm của đa thức f(x) cũng là một nghiệm của đa thức g(x).
Đáp án đề thi học kì 2 môn Toán lớp 7
Đề thi học kì 2 môn Sinh học lớp 7 phòng GD&ĐT Cam Lộ, Quảng Trị năm 2015 - 2016
Đề thi học kì 2 môn Toán lớp 7 sở GD&ĐT Bắc Giang năm 2015 - 2016
Bài 1:
a. Điểm kiểm tra một tiết môn Toán của mỗi học sinh lớp 7A

c) Mo= 5
Bài 2:
a) P(x) = – x2 + 3x – x3 + 2x4
= 2x4 – x3 – x2 + 3x
Q(x) = – 4x – 3x3 – x2 + 1
= – 3x3 – x2 – 4x + 1

Bài 3:
a) 10x + 5x + 2016x
= (10 + 5 + 2016)x
=2031x
b) (4x2y).(-5xy3)2.
= (4x2y).(25x2y6)
=(4.25).(x2x2).(y.y6)
=100x4y7
Bài 4:

a. Xét ABI và ACI có:
AB = AC (gt)
∠BAI = ∠CAI (gt)
AI (chung)
=> ΔABI = ΔACI (c-g-c)
b) ΔABC cân tại A nên phân giác AI đồng thời là đường trung tuyến của ΔABC.
c) G là trọng tâm của ΔABC.
=> AG = 2/3AI =2/3.9= 6cm.
d) Chứng minh được AI ⊥ BC
=> H là trực tâm
=> CH ⊥ AB
Bài 5:
a) Tìm đúng nghiệm của đa thức f(x) là x = -1
b) Vì x = -1 là một nghiệm của g(x) nên g(-1) = 0
=> a(-1)2 - 2 = 0
Hay a – 2 = 0
Vậy a = 2