Đề thi học sinh giỏi giải toán trên máy tính cầm tay tỉnh Thanh Hóa năm 2011 môn Toán lớp 9- Có đáp án
SỞ GIÁO DỤC VÀ ĐÀO TẠO
|
KỲTHI CHỌN HỌC SINH GIỎI LỚP 9 THCS
|
MÔN THI: TOÁN
Thời gian làm bài: 150 phút (không kể thời gian giao đề)
--------------------------------------------------------------------------------
Câu 1: (2 điểm)
Cho
. Hãy tính:

Câu 2: (2 điểm)
Giải phương trình: ![]()
Câu 3: (2 điểm)
Cho tam giác ABC, C = 90o, AB = a, góc A = α, CM, CN lần lượt là đường trung tuyến và đường phân giác của tam giác.
- Tính AC, BC và diện tích các tam giác ABC, CNM.
- Áp dụng với a = 6.56cm và α= 56o68’.
Câu 4: (2 điểm)
Tìm nghiệm nguyên của phương trình: 6x2 + 5y2 = 74
Câu 5: (2 điểm)
Tìm tất cả các bộ số nguyên dương (a, b, c) thoả mãn: a3b3 + (a3 - 2ac)b + c(c - a) = 0
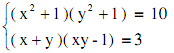
Câu 6: (2 điểm)
Giải hệ phương trình: 
Câu 7: (2 điểm)
Tính tổng: ![]()
Câu 8: (2 điểm)
Các đường cao AH, BE và CF của tam giác nhọn ABC cắt đường tròn ngoại tiếp tam giác đó tại các điểm thứhai tương ứng M, N và K.
Tính: ![]()
Câu 9: (2 điểm)
Cho
. Tìm tất cả các số tự nhiên m, n để P là số nguyên tố.
Câu 10: (2 điểm)
Cho tam giác ABC. O là một điểm bất kỳ nằm trong tam giác. Các tia AO, BO, CO cắt BC, CA và AB lần lượt tại P,Q,R. Tìm giá trị nhỏ nhất của ![]()