Đề thi học sinh giỏi lớp 8 THCS Quận Ngũ Hành Sơn năm 2010 - 2011
PHÒNG GIÁO DỤC VÀ ĐÀO TẠO
|
KÌ THI CHỌN HỌC SINH GIỎI THCS
|
MÔN THI: TOÁN - LỚP 8
Bài 1: (2,0 điểm)
a) Giải phương trình: (x + 4)( x2 + x/2 – 1,5) = (3 - x )(x2 + x/2 – 1,5)
b) Giải bất phương trình: x + 1/x < 2
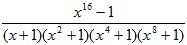
Bài 2: (2,0 điểm)
a) Tính giá trị của biểu thức sau:
; với x = 2011
b) Cho (x + 3y)3 - 6(x + 3y)2 +12(x + 3y) = -19
Tính giá trị của biểu thức x + 3y
Bài 3: (1,0 điểm)
Một trường học được xây dựng trên khu đất hình chữ nhật ABCD có AB = 50m; BC = 200m. Ở phía chiều rộng AB tiếp giáp đường chính, người ta sử dụng hai lô đất hình vuông AMEH, BMIK để xây dựng phòng làm việc và nhà để xe. Diện tích còn lại để xây phòng học và các công trình khác (hình vẽ). Tính diện tích lớn nhất còn lại để xây phòng học và các công trình khác.

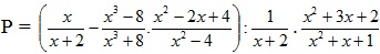
Bài 4: (2,0 điểm)
Cho biểu thức:
![]()
a) Tìm điều kiện xác định và rút gọn biểu thức P.
b) Tìm các giá trị của x để P > 0
Bài 5: (3,0 điểm)
Cho hình chữ nhật ABCD có AB = 8cm, AD = 6cm; gọi H là hình chiếu của A trên BD. Gọi M, N lần lượt là trung điểm của DH, BC.
a) Tính diện tích tứ giác ABCH.
b) Chứng minh: AM vuông góc MN.