Giao diện mới của VnDoc Pro: Dễ sử dụng hơn - chỉ tập trung vào lớp bạn quan tâm. Vui lòng chọn lớp mà bạn quan tâm: Lưu và trải nghiệm
Đóng
Điểm danh hàng ngày
  • Hôm nay +3
  • Ngày 2 +3
  • Ngày 3 +3
  • Ngày 4 +3
  • Ngày 5 +3
  • Ngày 6 +3
  • Ngày 7 +5
Bạn đã điểm danh Hôm nay và nhận 3 điểm!
Nhắn tin Zalo VNDOC để nhận tư vấn mua gói Thành viên hoặc tải tài liệu Hotline hỗ trợ: 0936 120 169

Đề thi học sinh giỏi lớp 8 THCS Quận Ngũ Hành Sơn năm 2012 - 2013

Lớp: Lớp 8
Dạng tài liệu: Đề thi HSG
Loại File: PDF
Phân loại: Tài liệu Tính phí

PHÒNG GIÁO DỤC VÀ ĐÀO TẠO
QUẬN NGŨ HÀNH SƠN

ĐỀ THI CHÍNH THỨC

KÌ THI CHỌN HỌC SINH GIỎI THCS
NĂM HỌC: 2012 - 2013

MÔN THI: TOÁN - LỚP 8

Bài 1: (1,50 điểm)

a./ Hãy viết biểu thức sau: thành hiệu hai bình phương.

b./ Cho: Đề thi học sinh giỏi lớp 8 THCS Quận Ngũ Hành Sơn

Chứng minh rằng M < 1

Bài 2: (2,00 điểm)

a./ Chứng minh rằng n3 - 28n chia hết cho 48 với mọi n là số nguyên chẵn

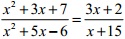
b./ Giải phương trình sau: Đề thi học sinh giỏi lớp 8 THCS Quận Ngũ Hành Sơn

Bài 3: (2,50 điểm)

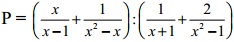
Cho biểu thức: Đề thi học sinh giỏi lớp 8 THCS Quận Ngũ Hành Sơn

a./ Rút gọn biểu thức P.

b./ Tìm các giá trị của x để P > -1

c./ Giải phương trình |P| = 2

Bài 4: (1,00 điểm).

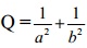
Cho a > 0; b > 0 và a2 + b2 = 10; Tìm giá trị nhỏ nhất của

Bài 5: (3,00 điểm)

Cho tam giác ABC có AB = 2a; AC = 3a; BC = 4a. Đường phân giác AD và BE cắt nhau tại I. Gọi M là trung điểm của AC, G là trọng tâm tam giác ABC.

a./ Tính độ dài đoạn thẳng BD theo a.

b./ Chứng minh IG // AC

c./ Tính tỉ số diện tích của tứ giác EIGM và ∆ ABC

Chọn file muốn tải về:
Đóng Chỉ thành viên VnDoc PRO/PROPLUS tải được nội dung này!
Đóng
79.000 / tháng
Đặc quyền các gói Thành viên
PRO
Phổ biến nhất
PRO+
Tải tài liệu Cao cấp 1 Lớp
30 lượt tải tài liệu
Xem nội dung bài viết
Trải nghiệm Không quảng cáo
Làm bài trắc nghiệm không giới hạn
Mua cả năm Tiết kiệm tới 48%

Có thể bạn quan tâm

Xác thực tài khoản!

Theo Nghị định 147/2024/ND-CP, bạn cần xác thực tài khoản trước khi sử dụng tính năng này. Chúng tôi sẽ gửi mã xác thực qua SMS hoặc Zalo tới số điện thoại mà bạn nhập dưới đây:

Số điện thoại chưa đúng định dạng!
Số điện thoại này đã được xác thực!
Bạn có thể dùng Sđt này đăng nhập tại đây!
Lỗi gửi SMS, liên hệ Admin
Sắp xếp theo
🖼️

Thi học sinh giỏi lớp 8

Xem thêm
🖼️

Gợi ý cho bạn

Xem thêm