Đề thi học sinh giỏi lớp 12 THPT tỉnh Quảng Nam năm 2013 - 2014
Đề thi học sinh giỏi lớp 12 THPT tỉnh Quảng Nam năm 2013 - 2014
Đề thi học sinh giỏi cấp tỉnh lớp 12 năm học 2013 - 2014 của tỉnh Quảng Nam là bộ đề thi chọn học sinh giỏi cấp tỉnh lớp 12. Bộ đề thi có đáp án, giúp các em tự hệ thống và củng cố kiến thức cơ bản và nâng cao các môn lớp 12, sẵn sàng cho các bài thi, bài kiểm tra sắp tới. Mời các em tham khảo.
Đề thi học sinh giỏi lớp 12 THPT tỉnh Bình Phước năm 2013 - 2014
Đề thi giải toán trên máy tính cầm tay cấp THPT tỉnh Bình Phước năm 2012 - 2013
Đề thi môn Toán và Văn
SỞ GIÁO DỤC VÀ ĐÀO TẠO
|
KỲ THI CHỌN HỌC SINH GIỎI CẤP TỈNH LỚP 12 THPT
|
ĐỀ THI MÔN: TOÁN
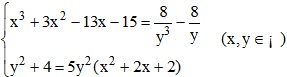
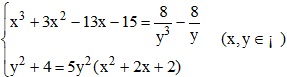
Câu 1 (5,0 điểm).
a) Giải phương trình:
.
b) Giải hệ phương trình:
.
Câu 2 (4,0 điểm).
a) Cho dãy số (un) xác định bởi: 
Đặt
. Tính: limSn.
b) Tìm tất cả các hàm số f liên tục trên ¡ thỏa mãn:
f(3x – y + α) = 3f(x) – f(y), Với mọi x, y thuộc ¡ trong đó α là số thực cho trước.
Câu 3 (5,0 điểm).
a) Cho tam giác ABC có diện tích bằng 1. Gọi M là điểm bất kỳ nằm trong mặt phẳng chứa tam giác ABC. Tìm giá trị nhỏ nhất của biểu thức: T = MA.ha + MB.hb + MC.hc (với ha, hb, hc lần lượt là độ dài các đường cao vẽ từ A, B, C).
b) Cho tam giác ABC có hai đỉnh B, C cố định và đỉnh A thay đổi. Gọi H và G lần lượt là trực tâm và trọng tâm của tam giác ABC. Gọi E là điểm đối xứng với H qua G. Tìm tập hợp các điểm A, biết rằng điểm E thuộc đường thẳng BC.
Câu 4 (3,0 điểm).
a) Tìm tất cả các số nguyên dương a, b, c sao cho: a + 2b = c và a3 + 8b3 = c2.
b) Cho đa thức f(x) có bậc n > 1, có các hệ số đều là các số nguyên và thỏa mãn điều kiện f(a + b) = a.b, với a, b là hai số nguyên cho trước (a, b khác 0).
Chứng minh rằng f(a) chia hết cho b và f(b) chia hết cho a.
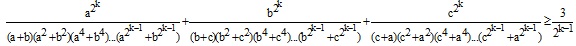
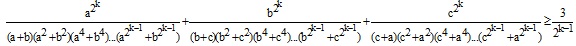
Câu 5 (3,0 điểm).
Cho ba số thực dương a, b, c thỏa mãn a.b.c = 8.
Chứng minh rằng với mọi k thuộc ¥*, ta có:![]()
ĐỀ THI MÔN: NGỮ VĂN
Câu 1 (8 điểm)
Trình bày suy nghĩ của anh/chị về quan niệm sống thể hiện trong các câu sau:
- Thà một phút huy hoàng rồi chợt tối
Còn hơn buồn le lói suốt trăm năm
(trích Giục giã - Xuân Diệu)
- Sống tung sóng gió thanh cao mới
Sống mạnh dù trong một phút giây
(trích Đi - Tố Hữu)
- Sống trong đời sống cần có một tấm lòng.
(trích Để gió cuốn đi (ca từ) - Trịnh Công Sơn)
Câu 2 (12 điểm)
Có nhận định rằng: Văn chương không có gì riêng sẽ không là gì cả.
Anh/chị hiểu như thế nào về ý kiến trên?
Hãy phân tích bài thơ Sóng của Xuân Quỳnh để làm sáng tỏ ý kiến đó.