Đề thi khảo sát chất lượng đầu vào môn Toán lớp 6 trường THCS Bình Khê, Đông Triều năm 2015 - 2016
Đề thi khảo sát chất lượng đầu vào môn Toán lớp 6
Đề thi khảo sát chất lượng đầu vào môn Toán lớp 6 trường THCS Bình Khê, Đông Triều năm 2015 - 2016 là đề kiểm tra đầu năm học nhằm đánh giá chất lượng học tập của học sinh từ lớp 5 lên lớp 6. Tài liệu bao gồm đáp án và đề thi môn Toán, giúp các em học sinh tự luyện tập và củng cố kiến thức hiệu quả. Mời các bạn tham khảo.
Đề thi khảo sát chất lượng Lớp 6 đầu năm 2013 - 2014, Sở GD-ĐT Hải Dương
Đề thi khảo sát chất lượng đầu năm lớp 6 môn Ngữ văn năm 2015 - 2016 huyện Kim Sơn, Ninh Bình
Đề khảo sát chất lượng đầu năm lớp 6 môn Toán năm học 2014 - 2015 trường THCS Xuân Dương, Hà Nội
PHÒNG GD-ĐT ĐÔNG TRIỀU
TRƯỜNG THCS BÌNH KHÊ
ĐỀ THI KHẢO SÁT CHẤT LƯỢNG ĐẦU NĂM
MÔN: TOÁN - LỚP: 6
Năm: 2015 - 2016
Thời gian: 60 phút
Câu 1: (2 điểm)
Thực hiện phép tính bằng cách thuận tiện nhất:
a) 17 x 4 + 8 x 4
b) 875 + 5x375 : 25 – 875
c) 201x8 – 8x2011
d) 19,83×79+0,12458×17+21×19,83+17×0.87542
Câu 2: (2 điểm) Thực hiện phép tính
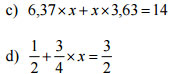
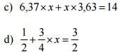
Câu 3: (2,0 điểm) Tìm x:
a) 12:x = 2015 - 2011
b) 13 - x = - 0,75
Câu 4 (1,5 điểm) Một mảnh vườn hình chữ nhật có chu vi là 480 m biết chiều rộng bằng 7/9 chiều dài . Tính diện tích hình chữ nhật?
Câu 5 (1,5 điểm) Cho hình vuông ABCD. trên cạnh BC lấy điểm E. Vẽ đường cao EM của tam giác AED ta có MECD là hình chữ nhật .
a) Vẽ hình theo đề bài
b) Tính diện tích tam giác AED .Biết diện tích hình vuông là 36 cm2
Câu 6 (1,0 điểm) Tìm số tự nhiên có 6 chữ số. Biết chữ số hàng đơn vị là 4. Nếu chuyển chữ số hàng đơn vị lên đầu thì được số mới có 6 chữ số gấp 4 lần số cũ?
Đáp án đề thi khảo sát chất lượng đầu vào môn Toán lớp 6


