Đề thi tuyển sinh lớp 10 THPT chuyên Hùng Vương tỉnh Bình Dương năm 2012 - 2013 môn Toán
Vndoc.com xin giới thiệu đến các bạn lớp 9, chuẩn bị thi lên lớp 10: Đề thi tuyển sinh lớp 10 THPT chuyên Hùng Vương tỉnh Bình Dương năm 2012 - 2013 môn Toán.
Đề thi tuyển sinh lớp 10 trường chuyên Hùng Vương:
SỞ GIÁO DỤC VÀ ĐÀO TẠO
|
KỲ THI TUYỂN SINH LỚP 10 THPT CHUYÊN HÙNG VƯƠNG
|
Bài 1: (1 điểm)
Cho Biểu thức: 
1) Rút gọn biểu thức A
2) Tính giá trị của A với 2 trường hợp: x = 1, y= -1 ; x = -1, y = 1.
Bài 2: (1,5 điểm)
Chữ số hàng chục của một số có 2 chữ số lớn hơn chữ số hàng đơn vị là 1. Nếu đổi chổ 2 chữ số cho nhau sẽ được một số bằng 5/6 số ban đầu. Tìm số có 2 chữ số ban đầu.
Bài 3: (2 điểm)
1) Tìm các số a, b, c thỏa: ![]()
2) Cho a + 2b = 1. Tìm giá trị lớn nhất của ab.
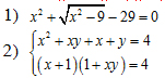
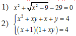
Bài 4: (2 điểm):
Giải phương trình và hệ phương trình:

Bài 5: (3,5 điểm)
1) Cho tam giác ABC. Về phía ngoài của tam giác ABC ta dựng các tam giác vuông cân ABE và ACF đỉnh A. Chứng minh rằng trung tuyến AI của tam giác ABC vuông góc với EF và AI = EF/2
2) Cho đường tròn tâm (O) và dây cung AB không qua tâm. C là một điểm bất kỳ trên cung nhỏ AB, đường thẳng BC cắt tiếp tuyến tại A của đường tròn ở D và tia phân giác của góc BAC cắt (O) tại M. Gọi I là trung điểm AM. Chứng minh OI song song với phân giác của góc ADB.