Giao diện mới của VnDoc Pro: Dễ sử dụng hơn - chỉ tập trung vào lớp bạn quan tâm. Vui lòng chọn lớp mà bạn quan tâm: Lưu và trải nghiệm
Đóng
Điểm danh hàng ngày
  • Hôm nay +3
  • Ngày 2 +3
  • Ngày 3 +3
  • Ngày 4 +3
  • Ngày 5 +3
  • Ngày 6 +3
  • Ngày 7 +5
Bạn đã điểm danh Hôm nay và nhận 3 điểm!
Nhắn tin Zalo VNDOC để nhận tư vấn mua gói Thành viên hoặc tải tài liệu Hotline hỗ trợ: 0936 120 169

Đề thi tuyển sinh lớp 10 THPT chuyên Nguyễn Trãi tỉnh Hải Dương năm học 2013 - 2014 môn Toán

Lớp: Lớp 10
Loại File: PDF
Phân loại: Tài liệu Tính phí

Để chuẩn bị cho kỳ thi vào cấp 3 sắp tới, Vndoc.com xin gửi đến các bạn: Đề thi tuyển sinh lớp 10 THPT chuyên Nguyễn Trãi tỉnh Hải Dương năm học 2013 - 2014 môn Toán.

Đề thi tuyển sinh lớp 10 môn Toán:

SỞ GIÁO DỤC VÀ ĐÀO TẠO
HẢI DƯƠNG

ĐỀ CHÍNH THỨC

ĐỀ THI TUYỂN SINH VÀO LỚP 10 THPT CHUYÊN
NGUYỄN TRÃI NĂM HỌC 2013 - 2014

MÔN THI: TOÁN (CHUNG)
Thời gian làm bài: 120 phút (không kể thời gian giao đề)
Ngày thi: 19/06/2013

Câu 1: (2,0 điểm)

1. Giải phương trình (2x + 1)2 + (x - 3)2 = 10

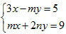
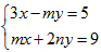
2. Xác định các hệ số m và n biết hệ phương trình có nghiệm (1; -2)

Câu 2: (2,0 điểm)

1. Rút gọn biểu thức

2. Hai người thợ quét sơn một ngôi nhà. Nếu họ cùng làm thì trong 6 ngày xong việc. Nếu họ làm riêng thì người thợ thứ nhất hoàn thành công việc châm hơn người thợ thứ 2 làm là 9 ngày. Hỏi nếu làm riêng thì mỗi người phải làm trong bao nhiêu ngày để xong việc.

Câu 3: (2,0 điểm)

Cho phương trình: x2 - 2(m - 1)x + 2m - 5 = 0

1. Chứng minh rằng phương trình luôn có hai nghiệm x1; x2 với mọi m.\

2. Tìm các giá trị của m để phương trình có hai nghiệm x1; x2 thỏa mãn điều kiện:
x12 - 2mx1 + 2m - 1)(x22 - 2mx2 + 2m - 1) < 0.

Câu 4: (3,0 điểm)

Cho ba điểm A, B, C cố định và thẳng hàng theo thứ tự đó. Đường tròn (O; R) thay đổi đi qua B và C sao cho O không phụ thuộc BC. Từ điểm A vẽ hai tiếp tuyến AM và AN với đường tròn (O). Gọi I là trung điểm của BC, E là giao điểm của MN và BC, H là giao điểm của đường thẳng OI và đường thẳng MN.

1. Chứng minh bốn điểm M, N, O, I cùng thuộc một đường tròn.

2. Chứng minh OI.OH = R2

3. Chứng minh đường thẳng MN luôn đi qua một điểm cố định

Câu 5: (1,0 điểm)

Cho tam giác ABC có chu vi bằng 2. Ký hiệu a, b, c là độ dài ba cạnh của tam giác. Tìm giá trị nhỏ nhất của biểu thức:

Chọn file muốn tải về:
Đóng Chỉ thành viên VnDoc PRO/PROPLUS tải được nội dung này!
Đóng
79.000 / tháng
Đặc quyền các gói Thành viên
PRO
Phổ biến nhất
PRO+
Tải tài liệu Cao cấp 1 Lớp
30 lượt tải tài liệu
Xem nội dung bài viết
Trải nghiệm Không quảng cáo
Làm bài trắc nghiệm không giới hạn
Mua cả năm Tiết kiệm tới 48%
29

Có thể bạn quan tâm

Xác thực tài khoản!

Theo Nghị định 147/2024/ND-CP, bạn cần xác thực tài khoản trước khi sử dụng tính năng này. Chúng tôi sẽ gửi mã xác thực qua SMS hoặc Zalo tới số điện thoại mà bạn nhập dưới đây:

Số điện thoại chưa đúng định dạng!
Số điện thoại này đã được xác thực!
Bạn có thể dùng Sđt này đăng nhập tại đây!
Lỗi gửi SMS, liên hệ Admin
Sắp xếp theo
🖼️

Lớp 10

Xem thêm
🖼️

Gợi ý cho bạn

Xem thêm