Giao diện mới của VnDoc Pro: Dễ sử dụng hơn - chỉ tập trung vào lớp bạn quan tâm. Vui lòng chọn lớp mà bạn quan tâm: Lưu và trải nghiệm
Đóng
Điểm danh hàng ngày
  • Hôm nay +3
  • Ngày 2 +3
  • Ngày 3 +3
  • Ngày 4 +3
  • Ngày 5 +3
  • Ngày 6 +3
  • Ngày 7 +5
Bạn đã điểm danh Hôm nay và nhận 3 điểm!
Nhắn tin Zalo VNDOC để nhận tư vấn mua gói Thành viên hoặc tải tài liệu Hotline hỗ trợ: 0936 120 169

Đề thi tuyển sinh lớp 10 THPT TP Hồ Chí Minh năm học 2013 - 2014 môn Toán

Lớp: Lớp 10
Loại File: PDF
Phân loại: Tài liệu Tính phí

Vndoc.com xin giới thiệu đến các bạn lớp 9, chuẩn bị thi lên lớp 10: Đề thi tuyển sinh lớp 10 THPT TP Hồ Chí Minh năm học 2013 - 2014 môn Toán.

Đề thi tuyển sinh lớp 10 môn Toán:

SỞ GIÁO DỤC VÀ ĐÀO TẠO
TP HỒ CHÍ MINH

ĐỀ CHÍNH THỨC

KỲ THI TUYỂN SINH LỚP 10 THPT
NĂM HỌC 2013 – 2014

MÔN THI: TOÁN
Thời gian làm bài: 60 phút (không kể thời gian giao đề)
Ngày: 21/06/2013

Bài 1: (2 điểm)

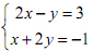
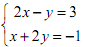
Giải các phương trình và hệ phương trình sau:

a) x2 - 5x + 6 = 0

b) x2 - 2x - 1 = 0

c) x4 + 3x2 - 4 = 0

d)

Bài 2: (1,5 điểm)

a) Vẽ đồ thị (P) của hàm số y = x2 và đường thẳng (D): y = -x + 2 trên cùng một hệ trục toạ độ.

b) Tìm toạ độ các giao điểm của (P) và (D) ở câu trên bằng phép tính.

Bài 3: (1,5 điểm)

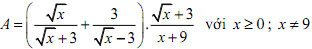
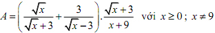
Thu gọn các biểu thức sau:

Bài 4: (1,5 điểm)

Cho phương trình 8x2 - 8x + m2 + 1 = 0 (*) (x là ẩn số)

a) Định m để phương trình (*) có nghiệm x = 1/2

b) Định m để phương trình (*) có hai nghiệm x1, x2 thỏa điều kiện: x14 - x24 = x13 - x23

Bài 5: (3,5 điểm)

Cho tam giác ABC không có góc tù (AB < AC), nội tiếp đường tròn (O; R). (B, C cố định, A di động trên cung lớn BC). Các tiếp tuyến tại B và C cắt nhau tại M. Từ M kẻ đường thẳng song song với AB, đường thẳng này cắt (O) tại D và E (D thuộc cung nhỏ BC), cắt BC tại F, cắt AC tại I.

a) Chứng minh rằng MBC = BAC. Từ đó suy ra MBIC là tứ giác nội tiếp.

b) Chứng minh rằng: FI.FM = FD.FE.

c) Đường thẳng OI cắt (O) tại P và Q (P thuộc cung nhỏ AB). Đường thẳng QF cắt (O) tại T (T khác Q). Chứng minh ba điểm P, T, M thẳng hàng.

d) Tìm vị trí điểm A trên cung lớn BC sao cho tam giác IBC có diện tích lớn nhất.

Chọn file muốn tải về:
Đóng Chỉ thành viên VnDoc PRO/PROPLUS tải được nội dung này!
Đóng
79.000 / tháng
Đặc quyền các gói Thành viên
PRO
Phổ biến nhất
PRO+
Tải tài liệu Cao cấp 1 Lớp
30 lượt tải tài liệu
Xem nội dung bài viết
Trải nghiệm Không quảng cáo
Làm bài trắc nghiệm không giới hạn
Mua cả năm Tiết kiệm tới 48%
16

Có thể bạn quan tâm

Xác thực tài khoản!

Theo Nghị định 147/2024/ND-CP, bạn cần xác thực tài khoản trước khi sử dụng tính năng này. Chúng tôi sẽ gửi mã xác thực qua SMS hoặc Zalo tới số điện thoại mà bạn nhập dưới đây:

Số điện thoại chưa đúng định dạng!
Số điện thoại này đã được xác thực!
Bạn có thể dùng Sđt này đăng nhập tại đây!
Lỗi gửi SMS, liên hệ Admin
Sắp xếp theo
🖼️

Lớp 10

Xem thêm
🖼️

Gợi ý cho bạn

Xem thêm