Giải bài tập SGK Vật lý 12 bài 20: Mạch dao động
Giải bài tập SGK Vật lý 12 bài 20
Giải bài tập SGK Vật lý 12 bài 20: Mạch dao động vừa được VnDoc.com sưu tập và xin gửi tới bạn đọc cùng tham khảo. Bài viết tổng hợp lời giải của 8 bài tập trong sách giáo khoa môn Vật lý lớp 12 bài 20 Mạch dao động. Mời các bạn cùng tham khảo chi tiết và tải về tại đây.
Mạch dao động
Bài 1 trang 107 SGK Vật Lý 12
Mạch dao động là gì?
Lời giải:
Mạch dao động là mạch điện kín gồm một tụ điện C mắc nối tiếp với cuộn cảm L.
Bài 2 trang 107 SGK Vật Lý 12
Nêu định luật biến thiên của điện tích của một bản tụ điện và cường độ dòng điện trong mạch dao động.
Lời giải:
Định luật biến thiên: điện tích q ở hai bản tụ điện và cường độ dòng điện I trong mạch dao động biến thiên điều hòa với cùng tần số góc, i sớm pha π/2 so với q.
Biểu thức điện tích: q = q0 cos(ωt + φ)
Biểu thức cường độ dòng điện trong mạch: i = = I0cos(ωt + φ + π/2)
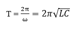
Bài 3 trang 107 SGK Vật Lý 12
Viết công thức tính chu kì và tần số dao động riêng của mạch dao động.
Lời giải:
Công thức chu kì và tần số của mạch dao động
Chu kì dao động riêng của mạch dao động:

Tần số dao động riêng của mạch
![]()
Bài 4 trang 107 SGK Vật Lý 12
Dao động điện từ tự do là gì?
Lời giải:
Dao động điện từ tự do là sự biến thiên điều hòa của điện tích q và cường độ i (hay cường độ điện trường E và cảm ứng từ B) trong mạch dao động.
Bài 5 trang 107 SGK Vật Lý 12
Năng lượng điện từ là gì?
Lời giải:
Tổng năng lượng điện trường và năng lượng điện trường và năng lượng từ trường của mạch gọi là năng lượng điện từ. Nếu không có sự tiêu hao năng lượng thì năng lượng điện từ trong mạch sẽ được bảo toàn.
Bài 6 trang 107 SGK Vật Lý 12
Sự biến thiên của dòng điện i trong một dao động lệch pha như thế nào so với sự biến thiên của điện tích q của một bản tụ điện?

Lời giải:
Chọn đáp án C.
Bài 7 trang 107 SGK Vật Lý 12
Nếu tăng số vòng dây của cuộn cảm thì chu kì của dao động điện từ sẽ thay đổi như thế nào?
A. Tăng
B. Giảm
C. Không đổi
D. Không đủ cơ sở để trả lời
Lời giải:
Chọn đáp án A.
Hướng dẫn: Ta có T = 2π√LC, L phụ thuộc vào kích thước của cuộn dây và số vòng của cuộn dây. Nếu số vòng của cuộn dây tăng suy ra L tăng ⇒ T tăng.
Bài 8 trang 107 SGK Vật Lý 12
Tính chu kì và tần số dao động riêng của một mạch dao động, biết tụ điện trong mạch có điện dung là 120pF và cuộn cảm có độ tự cảm là 3mH.
Lời giải:
Chu kì và tần số dao động riêng của mạch dao động

---------------------------------
Trên đây VnDoc.com đã giới thiệu tới bạn đọc tài liệu: Giải bài tập SGK Vật lý 12 bài 20: Mạch dao động. VnDoc xin giới thiệu tới các bạn học sinh cùng tham khảo thêm một số tài liệu học tập tại các mục Giải bài tập Toán lớp 12, Giải bài tập Hóa học lớp 12 mà VnDoc tổng hợp và đăng tải.
Mời các bạn cùng tham khảo thêm các tài liệu sau:
- Giải bài tập SGK Vật lý 12 bài 22: Sóng điện từ
- Giải bài tập SGK Vật lý 12 bài 25: Giao thoa ánh sáng
- Giải bài tập SGK Vật lý 12 bài 26: Các loại quang phổ
- Giải bài tập SGK Vật lý 12 bài 33: Mẫu nguyên tử Bo