Giải bài tập SGK Vật lý 12 bài 37: Phóng xạ
Giải bài tập SGK Vật lý 12 bài 37
VnDoc xin giới thiệu tới bạn đọc Giải bài tập SGK Vật lý 12 bài 37: Phóng xạ, nội dung tài liệu gồm 5 bài tập trang 194 SGK. Hy vọng bộ tài liệu sẽ là nguồn thông tin hữu ích để phục vụ công việc học tập của các bạn học sinh được tốt hơn.
- Giải bài tập SGK Vật lý 12 bài 30: Hiện tượng quang điện. Thuyết lượng tử ánh sáng
- Giải bài tập SGK Vật lý 12 bài 31: Hiện tượng quang điện trong
- Giải bài tập SGK Vật lý 12 bài 32: Hiện tượng quang - phát quang
- Giải bài tập SGK Vật lý 12 bài 33: Mẫu nguyên tử Bo
- Giải bài tập SGK Vật lý 12 bài 34: Sơ lược về laze
- Giải bài tập SGK Vật lý 12 bài 35: Tính chất và cấu tạo hạt nhân
- Giải bài tập SGK Vật lý 12 bài 36: Năng lượng liên kết của hạt nhân. Phản ứng hạt nhân
VnDoc.com xin gửi tới bạn đọc bài viết Giải bài tập SGK Vật lý 12 bài 37: Phóng xạ để bạn đọc cùng tham khảo. Bài viết được tổng hợp lời giải của 5 bài tập trong sách giáo khoa môn Vật lý 12 bài 37 Phóng xạ. Mời các bạn cùng tham khảo chi tiết và tải về tại đây.
Bài tập SGK Vật lý 12 bài 37: Phóng xạ
Bài 1 (trang 194 SGK Vật Lý 12)
Một hạt nhân ...

Lời giải:

Bài 2 (trang 194 SGK Vật Lý 12)
Chọn câu đúng. Quá trình phóng xạ hạt nhân.
A. thu năng lượng
B. tỏa năng lượng
C. không thu, không tỏa năng lượng
D. có trường hợp thu, có trường hợp tỏa năng lượng.
Lời giải:
Chọn đáp án B.
Bài 3 (trang 194 SGK Vật Lý 12)
Trong số các tia: α, β-, β+, γ tia nào đâm xuyên mạnh nhất? Tia nào đâm xuyên yếu nhất?
Lời giải:
- Khả năng đâm xuyên tia γ là mạnh nhất vì bước sóng ngắn nhất, năng lượng lớn nhất.
- Khả năng đâm xuyên tia α là yếu nhất vì bước sóng dài nhất, năng lượng nhỏ nhất.
Bài 4 (trang 194 SGK Vật Lý 12)
Quá trình phóng xạ nào không có sự thay đổi cấu tạo hạt nhân?
A. Phóng xạ α
B. Phóng xạ β-
C. Phóng xạ β+
D. Phóng xạ γ
Lời giải:
Chọn đáp án D.

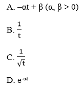
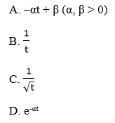
Bài 5 (trang 194 SGK Vật Lý 12)
Hãy chọn câu đúng. Trong quá trình phóng xạ, số lượng hạt phân hủy giảm đi vào thời gian t theo quy luật

Lời giải:
Chọn đáp án D. Số lượng hạt nhân giảm theo hàm mũ:

---------------------------------
Trên đây VnDoc.com đã giới thiệu tới bạn đọc tài liệu: Giải bài tập SGK Vật lý 12 bài 37: Phóng xạ. Để có kết quả cao hơn trong học tập, VnDoc xin giới thiệu tới các bạn học sinh tài liệu Giải bài tập Toán lớp 12, Giải bài tập Hóa học lớp 12 mà VnDoc tổng hợp và đăng tải.
Mời bạn đọc cùng tham gia nhóm Tài liệu học tập lớp 12 để có thêm tài liệu học tập nhé
Mời bạn đọc cùng tham khảo thêm các tài liệu sau:
- Giải bài tập SGK Vật lý 12 bài 38: Phản ứng phân hạch
- Giải bài tập SGK Vật lý 12 bài 39: Phản ứng nhiệt hạch
- Giải bài tập SGK Vật lý 12 bài 40: Các hạt sơ cấp
- Giải bài tập SGK Vật lý 12 bài 41: Cấu tạo vũ trụ
- Giải bài tập SGK Vật lý 12 bài 23: Nguyên tắc thông tin liên lạc bằng sóng vô tuyến