Giải bài tập SGK Vật lý 12 bài 36: Năng lượng liên kết của hạt nhân. Phản ứng hạt nhân
Giải bài tập SGK Vật lý 12 bài 36
- Bài 1 (trang 187 SGK Vật Lý 12)
- Bài 2 (trang 187 SGK Vật Lý 12)
- Bài 3 (trang 187 SGK Vật Lý 12)
- Bài 4 (trang 187 SGK Vật Lý 12)
- Bài 5 (trang 187 SGK Vật Lý 12)
- Bài 6 (trang 187 SGK Vật Lý 12)
- Bài 7 (trang 187 SGK Vật Lý 12)
- Bài 8 (trang 187 SGK Vật Lý 12)
- Bài 9 (trang 187 SGK Vật Lý 12)
- Bài 10 (trang 187 SGK Vật Lý 12)
VnDoc xin giới thiệu tới bạn đọc Giải bài tập SGK Vật lý 12 bài 36: Năng lượng liên kết của hạt nhân. Phản ứng hạt nhân, nội dung tài liệu gồm 10 bài tập trang 187 SGK. Mời các bạn học sinh và thầy cô cùng tham khảo.
- Giải bài tập SGK Vật lý 12 bài 30: Hiện tượng quang điện. Thuyết lượng tử ánh sáng
- Giải bài tập SGK Vật lý 12 bài 31: Hiện tượng quang điện trong
- Giải bài tập SGK Vật lý 12 bài 32: Hiện tượng quang - phát quang
- Giải bài tập SGK Vật lý 12 bài 33: Mẫu nguyên tử Bo
- Giải bài tập SGK Vật lý 12 bài 34: Sơ lược về laze
- Giải bài tập SGK Vật lý 12 bài 35: Tính chất và cấu tạo hạt nhân
Giải bài tập SGK Vật lý 12 bài 36: Năng lượng liên kết của hạt nhân. Phản ứng hạt nhân vừa được VnDoc.com sưu tập và xin gửi tới bạn đọc cùng tham khảo. Bài viết tổng hợp lời giải của 10 bài tập trong sách giáo khoa môn Vật lý lớp 12 bài 36 Năng lượng liên kết của hạt nhân. Phản ứng hạt nhân. Mời các bạn cùng tham khảo chi tiết và tải về tại đây.
Năng lượng liên kết của hạt nhân. Phản ứng hạt nhân
Bài 1 (trang 187 SGK Vật Lý 12)
Hãy chọn câu đúng.
Năng lượng liên kết riêng.
A. Giống nhau với mọi hạt nhân.
B. Lớn nhất với các hạt nhân nhẹ.
C. lớn nhất với các hạt nhân trung bình
D. Lớn nhất với các hạt nhân nặng.
Lời giải:
Chọn đáp án C.
Năng lượng liên kết riêng lớn nhất với các hạt nhân trung bình là những hạt nhân nằm ở khoảng giữa của bảng tuần hoàn ứng với: 50 < A < 95.
Bài 2 (trang 187 SGK Vật Lý 12)
Hãy chọn câu đúng.
Bản chất lực tương tác giữa các nuclon trong hạt nhân là:
A. Lực tĩnh điện
B. Lực hấp dẫn.
C. Lực điện từ
D. Lực tương tác mạnh.
Lời giải:
Chọn đáp án D.
Bản chất lực tương tác giữa các nuclon trong hạt nhân là lực tương tác mạnh.
Bài 3 (trang 187 SGK Vật Lý 12)
Phạm vi tác dụng của lực tương tác mạnh trong hạt nhân là bao nhiêu?
A. 10-13 cm
B. 10-8 cm
C. 10-10 cm
D. Vô hạn
Lời giải:
Chọn đáp án A.
Phạm vi tác dụng của lực tương tác mạnh trong hạt nhân là 10-13 cm
Bài 4 (trang 187 SGK Vật Lý 12)
Hạt nhân nào có năng lượng liên kết riêng lớn nhất?
A. Heli
B. Cacbon
C. Sắt
D. Urani
Lời giải:
Chọn đáp án C.
Vì hạt nhân Fe có số khối lượng trung bình 50 < A < 95
Bài 5 (trang 187 SGK Vật Lý 12)
Năng lượng liên kết của
![]()
Lời giải:
Năng lượng liên kết:

=> (10mp + 10mn – mNe)c2 = 0,17245uc2
=> 10.1,00728u + 10.1,00866u – mNe = 0,17245u
Khối lượng hạt nhân mNe = 19,98695u
![]()
Bài 6 (trang 187 SGK Vật Lý 12)
Khối lượng nguyên tử của ...

Lời giải:

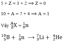
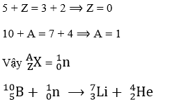
Bài 7 (trang 187 SGK Vật Lý 12)
Hoàn chỉnh các phản ứng sau:

Lời giải:
![]()
Áp dụng định luật bảo toàn điện tích và bảo toàn số nuclon

Áp dụng định luật bảo toàn điện tích và bảo toàn số nuclon.

Bài 8 (trang 187 SGK Vật Lý 12)
Phản ứng:

Lời giải:

Bài 9 (trang 187 SGK Vật Lý 12)
Chọn câu sai: Trong một phản ứng hạt nhân, có bảo toàn.
A. năng lượng
B. động năng
C. động năng
D. điện tích
Lời giải:
Chọn đáp án C
Bài 10 (trang 187 SGK Vật Lý 12)
Phản ứng nào sau đây thu năng lượng

Lời giải:

---------------------------------
Trên đây VnDoc.com đã giới thiệu tới bạn đọc tài liệu: Giải bài tập SGK Vật lý 12 bài 36: Năng lượng liên kết của hạt nhân. Phản ứng hạt nhân. Để có kết quả cao hơn trong học tập, VnDoc xin giới thiệu tới các bạn học sinh tài liệu Giải bài tập Toán lớp 12, Giải bài tập Hóa học lớp 12 mà VnDoc tổng hợp và đăng tải.
Mời bạn đọc cùng tham gia nhóm Tài liệu học tập lớp 12 để có thêm tài liệu học tập nhé
Mời các bạn cùng tham khảo thêm các tài liệu sau:
- Giải bài tập SGK Vật lý 12 bài 37: Phóng xạ
- Giải bài tập SGK Vật lý 12 bài 38: Phản ứng phân hạch
- Giải bài tập SGK Vật lý 12 bài 39: Phản ứng nhiệt hạch
- Giải bài tập SGK Vật lý 12 bài 40: Các hạt sơ cấp