Giải bài tập SGK Vật lý 12 bài 7: Sóng cơ và sự truyền sóng cơ
Giải bài tập SGK Vật lý 12 bài 7
Giải bài tập SGK Vật lý 12 bài 7: Sóng cơ và sự truyền sóng cơ vừa được VnDoc.com sưu tập và xin gửi tới bạn đọc cùng tham khảo. Bài viết được tổng hợp lời giải của 8 bài tập trong sách giáo khoa môn Vật lý lớp 12 bài 7 Sóng cơ và sự truyền sóng cơ. Mời các bạn cùng tham khảo chi tiết và tải về tại đây.
Bài 1 trang 40 SGK Vật Lý 12
Sóng cơ là gì?
Lời giải:
Sóng cơ là dao động cơ lan truyền trong một môi trường.
Bài 2 trang 40 SGK Vật Lý 12
Thế nào là sóng ngang? Thế nào là sóng dọc?
Lời giải:
Sóng ngang là song trong đó các phần tử của môi trường dao động theo phương vuông góc với phương truyền song.
Sóng dọc là sóng trong đó các phần tử của môi trường dao động theo phương trùng với phương truyền sóng.
Bài 3 trang 40 SGK Vật Lý 12
Bước sóng là gì?
Lời giải:
Bước sóng là quãng đường mà sóng truyền được trong thời gian một chu kì.
λ = vT = t/f
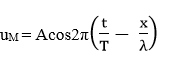
Bài 4 trang 40 SGK Vật Lý 12
Viết phương trình sóng.
Lời giải:
Phương trình sóng của một sóng hình sin truyền theo trục x.

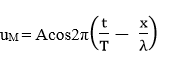
Bài 5 trang 40 SGK Vật Lý 12
Tại sao ta nói sóng vừa có tính tuần hoàn theo thời gian, vừa có tính tuần hoàn trong không gian?
Lời giải:
Vì phương trình có dạng

phụ thuộc vào t và x, nên sóng vừa có tính tuần hoàn theo thời gian t vừa có tính tuần hoàn theo không gian x.
Bài 6 trang 40 SGK Vật Lý 12
Sóng cơ là gì?
A. Là dao động lan truyền trong một môi trường.
B. Là dao động của mọi điểm trong một môi trường.
C. Là một dạng chuyển động đặc biệt của môi trường.
D. Là sự truyền chuyển động của các phần tử trong một môi trường.
Lời giải:
Chọn đáp án A
Bài 7 trang 40 SGK Vật Lý 12
Chọn câu đúng.
A. Sóng dọc là sóng truyền dọc theo một sợi dây.
B. Sóng dọc là sóng truyền theo phương thẳng đứng, còn sóng ngang là sóng truyền theo phương nằm ngang.
C. Sóng dọc là sóng trong đó phương dao động (của các phần tử của môi trường) trùng với phương truyền.
D. Sóng dọc là sóng truyền theo trục tung, còn sóng ngang là sóng truyền theo trục hoành.
Lời giải:
Chọn đáp án C.
Bài 8 trang 40 SGK Vật Lý 12
Trong thí nghiệm ở hình 7.1, cần rung dao động với tần số 50 Hz. Ở một thời điểm t, người ta đo được đường kính 5 gợn sóng liên tiếp lần lượt bằng 12,4; 14,3; 16,35; 18,3 và 20,45cm. Tính tốc độ truyền sóng.
Lời giải:
Bước sóng được tính là khoảng cách giữa 2 đỉnh sóng liên tiếp λ = R2 - R1 (với R là bán kính của sóng)

---------------------------------
Trên đây VnDoc.com đã giới thiệu tới bạn đọc tài liệu: Giải bài tập SGK Vật lý 12 bài 7: Sóng cơ và sự truyền sóng cơ. Để có kết quả cao hơn trong học tập, VnDoc xin giới thiệu tới các bạn học sinh tài liệu Giải bài tập Toán lớp 12, Giải bài tập Hóa học lớp 12 mà VnDoc tổng hợp và đăng tải.
Mời các bạn cùng tham khảo thêm các tài liệu sau:
- Giải bài tập SGK Vật lý 12 bài 8: Giao thoa sóng
- Giải bài tập SGK Vật lý 12 bài 9: Sóng dừng
- Giải bài tập SGK Vật lý 12 bài 10: Đặc trưng vật lí của âm
- Giải bài tập SGK Vật lý 12 bài 11: Đặc trưng sinh lí của âm