Giải bài tập SGK Vật lý 12 bài 3: Con lắc đơn
Giải bài tập SGK Vật lý 12 bài 3
VnDoc xin giới thiệu tới bạn đọc Giải bài tập SGK Vật lý 12 bài 3: Con lắc đơn, hy vọng qua bộ tài liệu các bạn học sinh sẽ học tập môn Vật lý nhanh và hiệu quả hơn. Mời thầy cô và các bạn học sinh cùng tham khảo.
Bài 1 trang 17 SGK Vật Lý 12
Thế nào là con lắc đơn? Khảo sát dao động của con lắc đơn về mặt động lực học.
Chứng minh rằng khi dao động nhỏ (sinα ≈ α (rad)), dao động của con lắc đơn là dao động điều hòa.
Lời giải:
Con lắc đơn gồm một vật nhỏ, khối lượng m, treo ở đầu một sợi dây không dãn, khối lượng không đáng kể, dài l.
Khảo sát con lắc về mặt động lực học :
- Từ vị trí cân bằng kéo nhẹ quả cầu lệch khỏi vị trí cân bằng một góc nhỏ rồi thả ra. Con lắc dao động quanh vị trí cân bằng.
- Chọn gốc tọa độ tại vị trí cân bằng, chiều dương hướng từ trái sang phải.
Lưu ý: α, s có giá trị dương khi lệch khỏi vị trí cân bằng theo chiều dương và ngược lại.

Thành phần lực Pt là lực kéo về có giá trị Pt = -mgsinα (3.1)
Nếu li độ góc α nhỏ thì sinα ≈ α (rad) thì Pt = -mgα = -mg s/l so sánh với lực kéo về của con lắc lò xo
F = -kx.

Vậy khi dao động nhỏ (sinα ≈ α (rad)), con lắc đơn dao động điều hòa.
Phương trình s = s0cos(ωt + φ)
Bài 2 trang 17 SGK Vật Lý 12
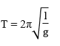
Viết công thức tính chu kì của con lắc đơn khi dao động nhỏ.
Lời giải:
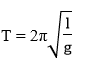
Chu kì dao động của con lắc đơn khi dao động nhỏ

Bài 3 trang 17 SGK Vật Lý 12
Viết biểu thức của động năng, thế năng và cơ năng của con lắc đơn ở vị trí có góc lệch α bất kì.
Lời giải:
Động năng của con lắc tại vị trí góc lệch α bất kì
![]()
Thế năng của con lắc tại vị trí góc lệch α bất kì Wt = mgl(1 – cosα) (mốc tính thế năng tại vị trí cân bằng)
Cơ năng: Nếu bỏ qua mọi ma sát thì cơ năng của con lắc đơn được bảo toàn.
![]()
Khi con lắc dao động khi động năng tăng thì thế năng giảm và ngược lại.
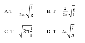
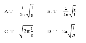
Bài 4 trang 17 SGK Vật Lý 12
Hãy chọn đáp án đúng.
Chu kì của con lắc đơn dao động nhỏ (sinα ≈ α (rad)) là:

Lời giải:
Chọn đáp án D.
Bài 5 trang 17 SGK Vật Lý 12
Hãy chọn đáp án đúng
Một con lắc đơn dao động với biên độ góc nhỏ. Chu kì của con lắc không thay đổi khi :
A. thay đổi chiều dài của con lắc.
B. thay đổi gia tốc trọng trường
C. tăng biên độ góc đến 30o
D. thay đổi khối lượng của con lắc.
Lời giải:
Chu kì của con lắc đơn phụ thuộc vào l, g và biên độ góc không phụ thuộc vào khối lượng m. T không đổi khi thay đổi khối lượng m của con lắc.
Chọn đáp án D.
Bài 6 trang 17 SGK Vật Lý 12
Một con lắc đơn được thả không vận tốc đầu từ li độ góc αo. Khi con lắc đi qua vị trí cân bằng thì tốc độ của quả cầu con lắc là bao nhiêu?

Lời giải:
Dùng định luật bảo toàn cơ năng, tại biên và tại vị trí cân bằng.
Tại biên Wt = mgl(1 – cosα0)
Tại vị trí cân bằng:

Định luật bảo toàn cơ năng

Bài 7 trang 17 SGK Vật Lý 12
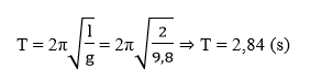
Một con lắc đơn dài l = 2m, dao động điều hòa tại một nơi có gia tốc rơi tự do g = 9,8 m/s2. Hỏi con lắc thực hiện được bao nhiêu dao động toàn phần trong 5 phút?
Lời giải:
t = 5 phút = 300s
Chu kì dao động:

Số dao động toàn phần trong 5 phút

=> n = 105 dao động toàn phần.
---------------------------------
Trên đây VnDoc.com đã giới thiệu tới bạn đọc tài liệu: Giải bài tập SGK Vật lý 12 bài 3: Con lắc đơn. Để có kết quả cao hơn trong học tập, VnDoc xin giới thiệu tới các bạn học sinh tài liệu Giải bài tập Toán lớp 12, Giải bài tập Hóa học lớp 12 mà VnDoc tổng hợp và đăng tải.
Mời các bạn cùng tham khảo thêm các tài liệu sau:
- Giải bài tập SGK Vật lý 12 bài 1: Dao động điều hòa
- Giải bài tập SGK Vật lý 12 bài 2: Con lắc lò xo
- Giải bài tập SGK Vật lý 12 bài 4: Dao động tắt dần. Dao động cưỡng bức
- Giải bài tập SGK Vật lý 12 bài 5: Tổng hợp hai dao động điều hòa cùng phương, cùng tần số. Phương pháp Fre-Nen
- Giải bài tập SGK Vật lý 12 bài 6: Thực hành: Khảo sát thực nghiệm các định luật dao động của con lắc đơn
