Giải bài tập SGK Vật lý 12 bài 4: Dao động tắt dần. Dao động cưỡng bức
Giải bài tập SGK Vật lý 12 bài 4
Giải bài tập SGK Vật lý 12 bài 4: Dao động tắt dần. Dao động cưỡng bức vừa được VnDoc.com sưu tập và xin gửi tới bạn đọc cùng tham khảo. Bài viết được tổng hợp lời giải của 6 bài tập trong sách giáo khoa môn Vật lý lớp 12 bài 4 về dao động tắt dần. Mời các bạn cùng tham khảo chi tiết và tải về tại đây.
Bài 1 trang 21 SGK Lý 12
Nêu đặc điểm của dao động tắt dần. Nguyên nhân của nó là gì?
Lời giải:
Dao động tắt dần là dao động có biên độ giảm dần theo thời gian, dao động tắt dần không có tính điều hòa. Nguyên nhân làm tắt dần dao động là do lực cản của môi trường. Lực cản môi trường càng lớn thì sự tắt dần càng nhanh.
Bài 2 trang 21 SGK Lý 12
Nêu đặc điểm của dao động duy trì?
Lời giải:
Đặc điểm của dao động duy trì là cung cấp phần năng lượng đúng bằng phần năng lượng tiêu hao do ma sát sau mỗi chu kì.
Bài 3 trang 21 SGK Lý 12
Nêu đặc điểm của dao động cưỡng bức.
Lời giải:
Đặc điểm của dao động cưỡng bức phụ thuộc vào sự chênh lệch giữa tần số của lực cưỡng bức và tần số riêng của hệ dao động.
Bài 4 trang 21 SGK Lý 12
Hiện tượng cộng hưởng là gì? Nêu điều kiện để có cộng hưởng. Cho một ví dụ.
Lời giải:
Cộng hưởng là hiện tượng biên độ dao động cưỡng bức tăng nhanh đến một giá trị cực đại khi tần số f của lực cưỡng bức bằng tần số riêng của hệ f0. Điều kiện để có cộng hưởng: f = f0
Ví dụ: Chiếc cầu có thể gãy, nếu đoàn người đi đều bước qua chiếc cầu có tần số cưỡng bức f bằng với tần số riêng của chiếc cầu f0.
Mỗi nhạc cụ đều có hộp cộng hưởng, để có thể dao động cộng hưởng nhiều tần số dao động khác nhau.
Bài 5 trang 21 SGK Lý 12
Một con lắc dao động tắt dần. Cứ sau mỗi chu kì, biên độ giảm 3%. Phần năng lượng của con lắc bị mất đi trong một dao động toàn phần là bao nhiêu?
A. 3%
B. 9%
C. 4,5%
D. 6%
Lời giải:
Chọn đáp án D.
Năng lượng trong một dao động toàn phần (một chu kì):
Sau mỗi chu kì biên độ giảm 3%.
Năng lượng toàn phần sau mỗi chu kì:

=> Năng lượng bị mất trong một dao động toàn phần:

Bài 6 trang 21 SGK Lý 12
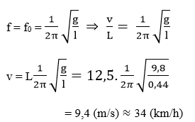
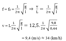
Một con lắc dài 44cm được treo vào trần của một toa xe lửa. Con lắc bị kích động mỗi khi bánh của toa xe gặp chỗ nối nhau của đường ray. Hỏi tàu chạy thẳng đều với tốc độ bao nhiêu thì biên độ dao động của con lắc sẽ lớn nhất? Cho biết chiều dài của mỗi đường ray là 12,5m. Lấy g = 9,8 m/s2.
A. 10,7 km/h
B. 40 km/h
C. 106 km/h
D. 45 km/h
Lời giải:
Chọn đáp án B.
Con lắc dao động cưỡng bức mỗi khi toa xe đi qua chỗ nối hai thanh.

Với v là vận tốc của tàu, L là chiều dài của thanh
Con lắc dao động mạnh nhất khi

---------------------------------
Trên đây VnDoc.com đã giới thiệu tới bạn đọc tài liệu: Giải bài tập SGK Vật lý 12 bài 4: Dao động tắt dần. Dao động cưỡng bức. Để có kết quả cao hơn trong học tập, VnDoc xin giới thiệu tới các bạn học sinh tài liệu Giải bài tập Toán lớp 12, Giải bài tập Hóa học lớp 12 mà VnDoc tổng hợp và đăng tải.
Mời các bạn cùng tham khảo thêm các tài liệu sau:
- Giải bài tập SGK Vật lý 12 bài 5: Tổng hợp hai dao động điều hòa cùng phương, cùng tần số. Phương pháp Fre-Nen
- Giải bài tập SGK Vật lý 12 bài 6: Thực hành: Khảo sát thực nghiệm các định luật dao động của con lắc đơn
- Giải bài tập SGK Vật lý 12 bài 7: Sóng cơ và sự truyền sóng cơ
