Giao diện mới của VnDoc Pro: Dễ sử dụng hơn - chỉ tập trung vào lớp bạn quan tâm. Vui lòng chọn lớp mà bạn quan tâm: Lưu và trải nghiệm
Đóng
Điểm danh hàng ngày
  • Hôm nay +3
  • Ngày 2 +3
  • Ngày 3 +3
  • Ngày 4 +3
  • Ngày 5 +3
  • Ngày 6 +3
  • Ngày 7 +5
Bạn đã điểm danh Hôm nay và nhận 3 điểm!
Nhắn tin Zalo VNDOC để nhận tư vấn mua gói Thành viên hoặc tải tài liệu Hotline hỗ trợ: 0936 120 169

Trắc nghiệm Toán 11 Kết nối tri thức bài 17

Đóng
Bạn đã dùng hết 1 lần làm bài Trắc nghiệm miễn phí. Mời bạn mua tài khoản VnDoc PRO để tiếp tục! Tìm hiểu thêm
Mô tả thêm:

Trắc nghiệm Toán 11 Kết nối tri thức bài 17: Hàm số liên tục

Trắc nghiệm Toán 11 Kết nối tri thức bài 17: Hàm số liên tục được VnDoc.com sưu tầm và xin gửi tới bạn đọc cùng tham khảo. Bài viết được tổng hợp gồm có 10 câu hỏi trắc nghiệm Toán 11 Kết nối tri thức. Hi vọng qua đây bạn đọc có thêm tài liệu học môn Toán 11 Kết nối nhé. Mời các bạn cùng theo dõi và làm bài trắc nghiệm dưới đây.

  • Số câu hỏi: 10 câu
  • Số điểm tối đa: 10 điểm
Bắt đầu làm bài
Bạn còn 1 lượt làm bài tập miễn phí. Hãy mua tài khoản VnDoc PRO để học không giới hạn nhé! Bạn đã HẾT lượt làm bài tập miễn phí! Hãy mua tài khoản VnDoc PRO để làm Trắc nghiệm không giới hạn và tải tài liệu nhanh nhé!
Mua ngay Đổi điểm
Trước khi làm bài bạn hãy
  • 1 Ôn tập kiến thức đã nêu trong phần Mô tả thêm
  • 2 Tìm không gian và thiết bị phù hợp để tập trung làm bài
  • 3 Chuẩn bị sẵn dụng cụ cần dùng khi làm bài như bút, nháp, máy tính
  • 4 Căn chỉnh thời gian làm từng câu một cách hợp lý
  • Câu 1: Nhận biết

    Câu 1:

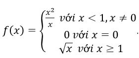
    Cho hàm số: Trắc nghiệm Toán 11 Kết nối tri thức bài 17 

    Kết luận nào sau đây không đúng?

  • Câu 2: Nhận biết

    Câu 2:

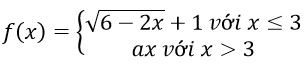
    Cho hàm số: Trắc nghiệm Toán 11 Kết nối tri thức bài 17 

    Với giá trị nào của a thì hàm số f(x) liên tục tại x = 3?

  • Câu 3: Nhận biết

    Câu 3:

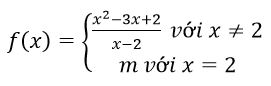
    Cho hàm số: Trắc nghiệm Toán 11 Kết nối tri thức bài 17 

    Kết luận nào sau đây là đúng?

  • Câu 4: Nhận biết

    Câu 4:

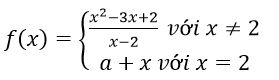
    Cho hàm số: Trắc nghiệm Toán 11 Kết nối tri thức bài 17 

    Với giá trị nào của m thì hàm số đã cho liên tục tại x = 2?

  • Câu 5: Nhận biết

    Câu 5:

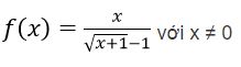
    Cho  Trắc nghiệm Toán 11 Kết nối tri thức bài 17 với x ≠ 0. Phải bổ sung thêm giá trị f(0)bằng bao nhiêu thì hàm f(x) liên tục trên R?

  • Câu 6: Nhận biết

    Câu 6:

    Cho Trắc nghiệm Toán 11 Kết nối tri thức bài 17 với x ≠ 0. Phải bổ sung thêm giá trị f(0) bằng bao nhiêu để hàm số f(x) liên tục tại x = 0?

  • Câu 7: Nhận biết

    Câu 7:

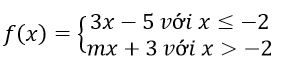
    Cho hàm số: Trắc nghiệm Toán 11 Kết nối tri thức bài 17 Giá trị nào của m để hàm số đã cho liên tục tại x = -2?

  • Câu 8: Nhận biết

    Câu 8:

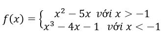
    Cho hàm số Trắc nghiệm Toán 11 Kết nối tri thức bài 17 Hàm số f(x) liên tục tại:

  • Câu 9: Nhận biết

    Câu 9:

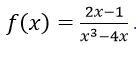
    Cho hàm số Trắc nghiệm Toán 11 Kết nối tri thức bài 17 Với giá trị nào của a thì hàm số đã cho liên tục tại x = 2?

  • Câu 10: Nhận biết

    Câu 10:

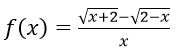
    Cho  Trắc nghiệm Toán 11 Kết nối tri thức bài 17 Phải bổ sung thêm giá trị f(0) giá trị bằng bao nhiêu để hàm số f(x) liên tục trên R?

Chúc mừng Bạn đã hoàn thành bài!

Trắc nghiệm Toán 11 Kết nối tri thức bài 17 Kết quả
  • Thời gian làm bài: 00:00:00
  • Số câu đã làm: 0
  • Điểm tạm tính: 0
  • Điểm thưởng: 0

Đấu trường Toán 11 Kết nối tri thức bài 17

Đang tìm đối thủ...

Đang tải...

Xác thực tài khoản!

Theo Nghị định 147/2024/ND-CP, bạn cần xác thực tài khoản trước khi sử dụng tính năng này. Chúng tôi sẽ gửi mã xác thực qua SMS hoặc Zalo tới số điện thoại mà bạn nhập dưới đây:

Số điện thoại chưa đúng định dạng!
Số điện thoại này đã được xác thực!
Bạn có thể dùng Sđt này đăng nhập tại đây!
Lỗi gửi SMS, liên hệ Admin
Sắp xếp theo