Giao diện mới của VnDoc Pro: Dễ sử dụng hơn - chỉ tập trung vào lớp bạn quan tâm. Vui lòng chọn lớp mà bạn quan tâm: Lưu và trải nghiệm
Đóng
Điểm danh hàng ngày
  • Hôm nay +3
  • Ngày 2 +3
  • Ngày 3 +3
  • Ngày 4 +3
  • Ngày 5 +3
  • Ngày 6 +3
  • Ngày 7 +5
Bạn đã điểm danh Hôm nay và nhận 3 điểm!
Nhắn tin Zalo VNDOC để nhận tư vấn mua gói Thành viên hoặc tải tài liệu Hotline hỗ trợ: 0936 120 169

Trắc nghiệm Toán 11 Kết nối tri thức bài tập cuối chương 5

Đóng
Bạn đã dùng hết 1 lần làm bài Trắc nghiệm miễn phí. Mời bạn mua tài khoản VnDoc PRO để tiếp tục! Tìm hiểu thêm
Mô tả thêm:

Trắc nghiệm Toán 11 Kết nối tri thức bài tập cuối chương 5: Giới hạn. Hàm số liên tục

VnDoc.com xin gửi tới bạn đọc bài viết Trắc nghiệm Toán 11 Kết nối tri thức bài tập cuối chương 5: Giới hạn. Hàm số liên tục để bạn đọc cùng tham khảo và có thêm tài liệu học Toán 11 Kết nối.

Bài viết được tổng hợp gồm có 10 câu hỏi trắc nghiệm Toán 11 Kết nối tri thức. Qua đây bạn đọc có thể trau dồi, luyện tập nội dung kiến thức của bài học. Mời các bạn cùng theo dõi và làm bài trắc nghiệm dưới đây.

  • Số câu hỏi: 10 câu
  • Số điểm tối đa: 10 điểm
Bắt đầu làm bài
Bạn còn 1 lượt làm bài tập miễn phí. Hãy mua tài khoản VnDoc PRO để học không giới hạn nhé! Bạn đã HẾT lượt làm bài tập miễn phí! Hãy mua tài khoản VnDoc PRO để làm Trắc nghiệm không giới hạn và tải tài liệu nhanh nhé!
Mua ngay Đổi điểm
Trước khi làm bài bạn hãy
  • 1 Ôn tập kiến thức đã nêu trong phần Mô tả thêm
  • 2 Tìm không gian và thiết bị phù hợp để tập trung làm bài
  • 3 Chuẩn bị sẵn dụng cụ cần dùng khi làm bài như bút, nháp, máy tính
  • 4 Căn chỉnh thời gian làm từng câu một cách hợp lý
  • Câu 1: Nhận biết

    Câu 1:

    lim (5n - 2n) bằng:

  • Câu 2: Nhận biết

    Câu 2:

    Trắc nghiệm Toán 11 Kết nối tri thức bài tập cuối chương 5 bằng:

  • Câu 3: Nhận biết

    Câu 3:

    Số thập phân vô hạn tuần hoàn 0,32111... được biểu diễn dưới dạng phân số tối giản a/b, trong đó a, b là các số nguyên dương. Tính a - b.

  • Câu 4: Nhận biết

    Câu 4:

    Trắc nghiệm Toán 11 Kết nối tri thức bài tập cuối chương 5 bằng:

  • Câu 5: Nhận biết

    Câu 5:

    Giá trị của Trắc nghiệm Toán 11 Kết nối tri thức bài tập cuối chương 5 bằng:

     

  • Câu 6: Nhận biết

    Câu 6:

    Kết quả của Trắc nghiệm Toán 11 Kết nối tri thức bài tập cuối chương 5 là:

  • Câu 7: Nhận biết

    Câu 7:

    Giá trị của Trắc nghiệm Toán 11 Kết nối tri thức bài tập cuối chương 5 bằng:

  • Câu 8: Nhận biết

    Câu 8:

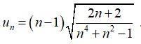
    Cho dãy số un với Trắc nghiệm Toán 11 Kết nối tri thức bài tập cuối chương 5 Chọn kết quả đúng của lim un là:

  • Câu 9: Nhận biết

    Câu 9:

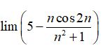
    Tính giới hạn: Trắc nghiệm Toán 11 Kết nối tri thức bài tập cuối chương 5

  • Câu 10: Nhận biết

    Câu 10:

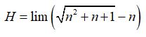
    Giá trị của Trắc nghiệm Toán 11 Kết nối tri thức bài tập cuối chương 5 bằng:

Chúc mừng Bạn đã hoàn thành bài!

Trắc nghiệm Toán 11 Kết nối tri thức bài tập cuối chương 5 Kết quả
  • Thời gian làm bài: 00:00:00
  • Số câu đã làm: 0
  • Điểm tạm tính: 0
  • Điểm thưởng: 0

Đấu trường Toán 11 Kết nối tri thức bài tập cuối chương 5

Đang tìm đối thủ...

Đang tải...

Xác thực tài khoản!

Theo Nghị định 147/2024/ND-CP, bạn cần xác thực tài khoản trước khi sử dụng tính năng này. Chúng tôi sẽ gửi mã xác thực qua SMS hoặc Zalo tới số điện thoại mà bạn nhập dưới đây:

Số điện thoại chưa đúng định dạng!
Số điện thoại này đã được xác thực!
Bạn có thể dùng Sđt này đăng nhập tại đây!
Lỗi gửi SMS, liên hệ Admin
Sắp xếp theo