Đáp án đề Toán THPT 2021 đợt 2
1. Đáp án đề thi THPT Quốc gia 2022
- Đáp án đề thi THPT Quốc Gia 2022 môn Văn
- Đáp án đề thi THPT Quốc Gia 2022 môn Toán
- Đáp án đề thi THPT Quốc Gia 2022 môn Lý
- Đáp án đề thi THPT Quốc Gia 2022 môn Hóa
- Đáp án đề thi THPT Quốc Gia 2022 môn Sinh
- Đáp án đề thi THPT Quốc Gia 2022 môn Sử
- Đáp án đề thi THPT Quốc Gia 2022 môn Địa
- Đáp án đề thi THPT Quốc Gia 2022 môn GDCD
- Đáp án đề thi THPT Quốc Gia 2022 môn Anh
- Đáp án đề thi THPT Quốc Gia 2022 môn tiếng Trung
- Đáp án đề thi THPT Quốc Gia 2022 môn tiếng Pháp
- Đáp án đề thi THPT Quốc Gia 2022 môn tiếng Nga
- Đáp án đề thi THPT Quốc Gia 2022 môn tiếng Hàn
- Đáp án đề thi THPT Quốc Gia 2022 môn tiếng Nhật
- Đáp án đề thi THPT Quốc Gia 2022 môn tiếng Đức
2. Lịch thi THPT Quốc Gia 2022
Xem chi tiết lịch thi: Lịch thi THPT Quốc Gia 2022
Gửi đề thi để nhận lời giải ngay: https://www.facebook. com/com.VnDoc
Đáp án Đề thi tốt nghiệp THPT Quốc Gia 2021 đợt 2 môn Toán
Chiều 6/8, các thí sinh thi đợt 2 kỳ thi THPT Quốc gia 2021 sẽ tham gia thi môn Toán. Nội dung đề thi THPT Quốc Gia 2021 môn Toán đợt 2 và gợi ý Đáp án Đề thi THPT Quốc Gia 2021 môn Toán đợt 2 sẽ được VnDoc cập nhật ngay khi hết thời gian làm bài . Vui lòng nhấn F5 và gửi đề cho VnDoc để nhận gợi ý đáp án nhé.
Đáp án chính thức 2021 môn Toán của Bộ

Đề thi THPT Quốc Gia 2021 môn Toán đợt 2
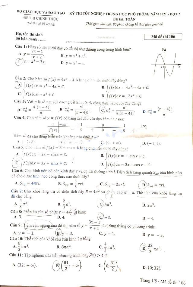
Mã đề 106

Mã đề 111




Mã đề 120





Trên đây VnDoc.com vừa giới thiệu tới các bạn Đáp án đề thi THPT Quốc Gia 2021 môn Toán đợt 2. Đây là đáp án tham khảo để các bạn so sánh đối chiếu với kết quả bài làm của mình, từ đó có thể ước lượng được điểm số mình đạt được trong kỳ thi quan trọng này.
Để biết thêm các thông tin về kỳ thi THPT Quốc gia 2021, mời các bạn tham khảo tại chuyên mục Thi THPT Quốc gia. VnDoc sẽ cập nhật liên tục đáp án kỳ thi, các thông tin về điểm sàn, điểm chuẩn cũng như những thông tin quan trọng khác... Mời các bạn theo dõi.
Mời bạn đọc cùng tham gia nhóm Tài liệu học tập lớp 12 để có thêm tài liệu học tập nhé
Đáp án chính thức đề thi THPT Quốc Gia 2021 đợt 1
- Đáp án đề thi THPT Quốc Gia 2021 môn Văn
- Đáp án đề thi THPT Quốc Gia 2021 môn Anh
- Đáp án đề thi THPT Quốc Gia 2021 môn tiếng Trung
- Đáp án đề thi THPT Quốc Gia 2021 môn tiếng Pháp
- Đáp án đề thi THPT Quốc Gia 2021 môn tiếng Nga
- Đáp án đề thi THPT Quốc Gia 2021 môn tiếng Hàn
- Đáp án đề thi THPT Quốc Gia 2021 môn tiếng Nhật
- Đáp án đề thi môn tiếng Đức THPT Quốc Gia 2021
- Đáp án đề thi THPT Quốc Gia 2021 môn Lý
- Đáp án đề thi THPT Quốc Gia 2021 môn Hóa
- Đáp án đề thi THPT Quốc Gia 2021 môn Sinh
- Đáp án đề thi THPT Quốc Gia 2021 môn Sử
- Đáp án đề thi THPT Quốc Gia 2021 môn Địa
- Đáp án đề thi THPT Quốc Gia 2021 môn GDCD



