Đề thi học kì 2 môn Toán lớp 4 trường tiểu học Đồng Kho 1, Bình Thuận năm 2016 - 2017
Đề thi học kì 2 môn Toán lớp 4
Đề thi học kì 2 môn Toán lớp 4 trường tiểu học Đồng Kho 1, Bình Thuận năm học 2016 - 2017 là đề thi định kì cuối học kì 2 lớp 4 với các dạng bài tập trọng tâm chuẩn theo các mức độ Thông tư 22 giúp các em học sinh củng cố kiến thức hệ thống lại các dạng bài tập ôn thi cuối học kì 2 đạt kết quả cao. Mời các em cùng tham khảo.
Bộ đề thi học kì 2 môn Toán lớp 4 trường Tiểu học Thị trấn Giồng Riềng 1, Kiên Giang năm 2016 - 2017
Đề thi học kì 2 môn Toán lớp 4 trường tiểu học Đức Long, Phan Thiết năm 2016 - 2017
TRƯỜNG TH ĐỒNG KHO 1 KIỂM TRA CUỐI HỌC KỲ 2
Họ và tên: . . . . . . . . . . . . . . . . . . . Năm học: 2016 - 2017
Lớp: 4 . . . . Môn: Toán
Thời gian: 40 phút
Phần 1: Trắc nghiệm. (4 điểm)
Khoanh vào chữ cái trước câu trả lời đúng.
Câu 1: 1 giờ 15 phút = . . . phút (1 điểm) (M1)
A. 75 B. 25 C. 115
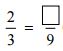
Câu 2: Số thích hợp để viết vào ô trống của
(1 điểm) (M1)
A. 4 B. 6 C. 8
Câu 3: Cho biểu thức: 15 x 36 + 36 x 85. Cách tính nào sau đây là thuận tiện và đúng nhất: (1 điểm) (M1)
A. 15 x 36 + 36 x 85 B. 15 x 36 + 36 x 85 C. 15 x 36 + 36 x 85
= 540 + 3060 = (15 + 85) x 36 = (15 x 36) + (36 x 85)
= 3600 = 100 x 36 = 3600 = 540 + 3060 = 3600
Câu 4: của 255 là: (1 điểm) (M3)
A. 85 B. 153 C. 425
Phần 2: Tự luận. (6 điểm)
Câu 1: Tính: (2 điểm) (M2)

![]()
Câu 2: Tìm x: (1 điểm) (M1)
![]()
Câu 3: (1 điểm) (M1)
a. Nêu tên từng cặp cạnh song song với nhau trong hình thoi ABCD:

..........................................................
b. Nối hai điểm A và C, D và B ta có độ dài lần lượt là 12 cm và 18 cm. Tính diện tích hình thoi ABCD đó.
....................................................................................
...................................................................................
..................................................................................
Câu 4: Một mảnh vườn hình chữ nhật có chiều dài hơn chiều rộng 45 mét và chiều rộng bằng 2/5 chiều dài. (2 điểm) (M2)
a. Tính chiều dài, chiều rộng của mảnh vườn.
b. Tính diện tích của mảnh vườn. (2 điểm)
Bài giải:
Đáp án và hướng dẫn chấm môn Toán lớp 4 học kì 2
Phần 1: Trắc nghiệm. (4 điểm) Đúng mỗi câu được 1 điểm.
Kết quả là:
|
Câu 1 |
Câu 2 |
Câu 3 |
Câu 4 |
|
A |
B |
B |
C |
Phần 2: Tự luận. (6 điểm)
Câu 1: (2 điểm). Đúng mỗi câu được 0,5 điểm. Kết quả là:

Câu 2: Tìm x: (1 điểm). Đúng mỗi câu được 0,5 điểm

Câu 3: (1 điểm) Ghi đúng mỗi cặp cạnh song song được 0,25 điểm. Tính đúng diện tích được 0,5 điểm
Kết quả là: a) AB song song DC; AD song song BC;
b) Diện tích hình thoi là: 12 x 18 : 2 = 108 (cm2)
Câu 4: (2 điểm) Bài giải:
Hiệu số phần bằng nhau là: 5 - 2 = 3 (phần) (0,25 đ)
Chiều rộng mảnh vườn là: 45 : 3 x 2 = 30 (m) (0,25 đ)
Chiều dài mảnh vườn là: 30 + 45 = 75 (m) (0,25 đ)
Diện tích mảnh vườn là: 30 x 75 = 2250 (m2) (0,75 đ)
Đáp số: 30 m, 75 m (0,25 đ)
2250 m2. (0,25 đ)