Đề thi học sinh giỏi Giải toán trên Máy tính cầm tay cấp tỉnh Hậu Giang môn Toán lớp 9 (2011 - 2012)
SỞ GIÁO DỤC VÀ ĐÀO TẠO
|
KỲ THI CHỌN HỌC SINH GIỎI CẤP TỈNH
|
Bài 1:
Tìm số tự nhiên N bé nhất thỏa N chia 30 dư 16, N chia 2012 dư 494
Bài 2:
Cho dãy số (un) biết u1 = 2011, u2 = 2012, un+2 = un+1 + un (n ≥ 1). Tính u10.
Bài 3:
Tìm số dư khi chia A = 555222 + 222555 + 2012 cho 7.
Bài 4:
Cho đa thức Q(x) = (2011x + 1)4. Tính tổng các hệ số của đa thức chính xác đến đơn vị.
Bài 5:
Cho tam giác ABC có góc B = 2 góc C, AB = 8cm, BC = 10cm. Tính AC
Bài 6:
. Tính giá trị gần đúng của S15.
Bài 7:
Tìm hai chữ số tận cùng của số: N = 22010 + 22011 + 22012
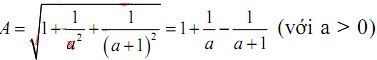
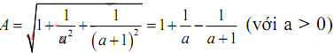
Bài 8:
Biết rằng
. Áp dụng công thức trên tính giá trị của
Bài 9:
Một người được lĩnh lương khởi điểm là 700.000đ/tháng. Cứ ba năm anh ta lại được tăng lương thêm 7%. Hỏi sau 36 năm làm việc anh ta được lĩnh tất cả bao nhiêu tiền (Lấy chính xác đến hàng đơn vị).
Bài 10:
Cho tam giác đều ABC có cạnh bằng 60cm. Trên cạnh BC lấy điểm D sao cho DB = 20cm. Đường trung trực của đoạn AD cắt AB và AC theo thứ tự ở E và F. Tính chu vi tam giác DEF.