Giao diện mới của VnDoc Pro: Dễ sử dụng hơn - chỉ tập trung vào lớp bạn quan tâm. Vui lòng chọn lớp mà bạn quan tâm: Lưu và trải nghiệm
Đóng
Điểm danh hàng ngày
  • Hôm nay +3
  • Ngày 2 +3
  • Ngày 3 +3
  • Ngày 4 +3
  • Ngày 5 +3
  • Ngày 6 +3
  • Ngày 7 +5
Bạn đã điểm danh Hôm nay và nhận 3 điểm!
Nhắn tin Zalo VNDOC để nhận tư vấn mua gói Thành viên hoặc tải tài liệu Hotline hỗ trợ: 0936 120 169

Đề thi học sinh giỏi Quốc gia THPT năm 2014

Loại File: ZIP
Phân loại: Tài liệu Tính phí

BỘ GIÁO DỤC & ĐÀO TẠO

ĐỀ THI CHÍNH THỨC

KỲ THI CHỌN HỌC SINH GIỎI QUỐC GIA THPT NĂM 2014

MÔN THI: TOÁN
Thời gian làm bài: 180 phút
Ngày thi thứ nhất: 03/01/2014

Bài 1 (5.0 điểm).

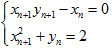
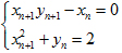
Cho hai dãy số dương (xn), (yn) xác định bởi x1 = 1, y1 = √3 và

Đề thi học sinh giỏi Quốc gia THPT năm 2014

với mọi n = 1, 2, ... Chứng minh rằng hai dãy số trên hội tụ và tìm giới hạn của chúng.

Bài 2 (5.0 điểm).

Cho đa thức P(x) = (x2 - 7x + 6)2n + 13 với n là số nguyên dương. Chứng minh rằng P(x) không thể biểu diễn được dưới dạng tích của n + 1 đa thức khác hằng số với hệ số nguyên.

Bài 3 (5.0 điểm).

Cho đa giác đều có 103 cạnh. Tô màu đỏ 79 đỉnh của đa giác và tô màu xanh các đỉnh còn lại. Gọi A là số cặp đỉnh đỏ kề nhau và B là số cặp đỉnh xanh kề nhau.

1. Tìm tất cả các giá trị có thể nhận được của cặp (A, B).

2. Xác định số cách tô màu các đỉnh của đa giác để B = 14. Biết rằng, hai cách tô màu được xem là như nhau nếu chúng có thể nhận được từ nhau qua một phép quay quanh tâm đường tròn ngoại tiếp đa giác.

Bài 4 (5.0 điểm).

Cho tam giác nhọn ABC nội tiếp đường tròn (O) với AB < AC. Gọi I là trung điểm cung BC không chứa A. Trên AC lấy điểm K khác C sao cho IK = IC. Đường thẳng BK cắt (O) tại D (D # B) và cắt đường thẳng AI tại E. Đường thẳng DI cắt đường thẳng AC tại F.

1. Chứng minh rằng Đề thi học sinh giỏi Quốc gia THPT năm 2014

2. Trên DI lấy điểm M sao cho CM song song với AD. Đường thẳng KM cắt đường thẳng BC tại N. Đường tròn ngoại tiếp tam giác BNK cắt (O) tại P (P # B). Chứng minh rằng đường thẳng PK đi qua trung điểm đoạn thẳng AD.

Chọn file muốn tải về:
Đóng Chỉ thành viên VnDoc PRO/PROPLUS tải được nội dung này!
Đóng
79.000 / tháng
Đặc quyền các gói Thành viên
PRO
Phổ biến nhất
PRO+
Tải tài liệu Cao cấp 1 Lớp
30 lượt tải tài liệu
Xem nội dung bài viết
Trải nghiệm Không quảng cáo
Làm bài trắc nghiệm không giới hạn
Mua cả năm Tiết kiệm tới 48%
Xác thực tài khoản!

Theo Nghị định 147/2024/ND-CP, bạn cần xác thực tài khoản trước khi sử dụng tính năng này. Chúng tôi sẽ gửi mã xác thực qua SMS hoặc Zalo tới số điện thoại mà bạn nhập dưới đây:

Số điện thoại chưa đúng định dạng!
Số điện thoại này đã được xác thực!
Bạn có thể dùng Sđt này đăng nhập tại đây!
Lỗi gửi SMS, liên hệ Admin
Sắp xếp theo
🖼️

Thư viện Học liệu

Xem thêm
🖼️

Gợi ý cho bạn

Xem thêm