Đề thi học sinh giỏi Toán thành phố Hà Nội năm 2013 - 2014
ĐỀ THI HỌC SINH GIỎI TOÁN THÀNH PHỐ HÀ NỘI
Năm học: 2013 - 2014
Thời gian làm bài: 180 phút
Bài 1: (5 điểm)
Cho hàm số y = x3 -3x + 4 có đồ thị (C)
a. Tìm các điểm M, N cùng nằm trên (C) sao cho điểm I(-1/2; 2) là trung điểm của đoạn thẳng MN.
b. Cho ba điểm phân biệt A, B, C cùng thuộc (C). Các tiếp tuyến của (C) tại A, B, C cắt (C) tại điểm thứ hai lần lượt là A'; B'; C'. Chứng minh rằng nếu A, B, C thẳng hàng thì A’, B’, C’ cũng thẳng hàng.
Bài 2: (5 điểm)
a. Giải phương trình: ![]()
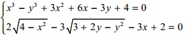
b. Giải hệ phương trình: 
Bài 3: (2 điểm)
Cho các số thực a, b, c sao cho a ≥ 0, b ≥ 0, 0 ≤ c ≤ 1 và a2 + b2 + c2 = 3. Tìm giá trị lớn nhất và giá trị nhỏ nhất của biểu thức sau:![]()
Bài 4: (3 điểm)
Trong không gian cho ba tia Ox, Oy, Oz không đồng phẳng. Đặt góc xOy = α, góc yOz = β, góc zOx = γ. Lấy các điểm A, B, C lần lượt trên các tia Ox, Oy, Oz sao cho OA = OB = OC = a với a > 0.
a. Gọi M là điểm nằm trên đoạn BC sao cho BM = 2MC và I là trung điểm của đoạn thẳng AM. Tính độ dài đoạn thẳng OI theo α trong trường hợp α = γ = 60o, β = 90o
b. Chứng minh rằng: cosα + cosγ + cosβ > -3/2
Bài 5: (3 điểm)
Cho dãy số (un) thỏa mãn điều kiện: 
a. Chứng minh rằng (un) là dãy số tăng
b. Với mỗi n ≥ 1, n thuộc N, đặt
. Chứng minh rằng: v1 + v2 + ... + vn < 2014 với mọi n ≥ 1.