Đề thi thử THPT Quốc gia môn Toán năm 2016 tỉnh Quảng Nam
Đề thi thử THPT Quốc gia môn Toán 2016 tỉnh Quảng Nam
Đề thi thử THPT Quốc gia môn Toán năm 2016 tỉnh Quảng Nam được VnDoc.com sưu tầm và đăng tải, là đề luyện thi THPT Quốc gia môn Toán hữu ích dành cho các bạn thí sinh, giúp các bạn củng cố và nâng cao kỹ năng làm bài môn Toán hiệu quả.
Đề thi thử THPT Quốc gia năm 2016 môn Toán trường THPT Triệu Sơn 1, Thanh Hóa
Đề thi thử THPT Quốc gia năm 2016 môn Toán trường THPT Chuyên Nguyễn Huệ, Hà Nội
Đề thi thử THPT Quốc gia năm 2016 môn Toán trường THPT Chuyên Hà Nội - Amsterdam
|
SỞ GIÁO DỤC VÀ ĐÀO TẠO QUẢNG NAM ĐỀ THI CHÍNH THỨC |
KỲ THI KHẢO SÁT CHẤT LƯỢNG LỚP 12 THPT NĂM HỌC 2015 - 2016 Môn thi: TOÁN Thời gian làm bài: 180 phút, không kể thời gian phát đề |
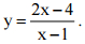
Câu 1 (1,0 điểm). Khảo sát sự biến thiên và vẽ đồ thị của hàm số ![]()
Câu 2 (1,0 điểm). Tìm giá trị lớn nhất và giá trị nhỏ nhất của hàm số f(x) = (x2 - 2).e2x trên đoạn [-1;2]
Câu 3 (1,0 điểm).
a) Cho số phức z thỏa mãn (2 + i)z = 4 - 3i. Tìm môđun của số phức ![]()
b) Giải phương trình log2x = 3 - log2(x + 2)
Câu 4 (1,0 điểm). Tính tích phân 
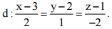
Câu 5 (1,0 điểm). Trong không gian với hệ tọa độ Oxyz, cho điểm A(-2;3;1) và đường thẳng
Viết phương trình mặt phẳng (P) qua A và vuông góc với đường thẳng d. Tìm tọa độ điểm M thuộc đường thẳng d sao cho khoảng cách từ M đến mặt phẳng (P) bằng 3.
Câu 6 (1,0 điểm)
a) Cho góc α thỏa mãn 5sin2α - 6cosα = 0 và 0 < α < π/2. Tính giá trị của biểu thức:
![]()
b) Cho đa giác đều 12 đỉnh, trong đó có 7 đỉnh tô màu đỏ và 5 đỉnh tô màu xanh. Chọn ngẫu nhiên một tam giác có các đỉnh là 3 trong 12 đỉnh của đa giác. Tính xác suất để tam giác được chọn có 3 đỉnh cùng màu.
Câu 7 (1,0 điểm). Cho hình lăng trụ tam giác đều ABC.A'B'C' có cạnh đáy bằng a, góc giữa hai mặt phẳng (A'BC) và (ABC) bằng 60o. Gọi M là trung điểm cạnh BC, N là trung điểm cạnh CC'. Tính theo a thể tích khối chóp A.BB'C'C và khoảng cách từ M đến mặt phẳng (AB'N).
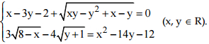
Câu 8 (1,0 điểm). Giải hệ phương trình 
Câu 9 (1,0 điểm). Trong mặt phẳng với hệ tọa độ Oxy, cho tam giác ABC có trực tâm H, phương trình đường thẳng AH là 3x - y + 3 = 0, trung điểm của cạnh BC là M(3;0). Gọi E và F lần lượt là chân đường cao hạ từ B và C đến AC và AB, phương trình đường thẳng EF là x - 3y + 7 = 0. Tìm tọa độ điểm A, biết A có hoành độ dương.
Câu 10 (1,0 điểm). Cho ba số thực a, b, c thỏa mãn điều kiện ![]()
Tìm giá trị nhỏ nhất của biểu thức ![]()
Đáp án đề thi thử THPT Quốc gia môn Toán năm 2016 tỉnh Quảng Nam
Câu 1:

(Còn tiếp)