Giao diện mới của VnDoc Pro: Dễ sử dụng hơn - chỉ tập trung vào lớp bạn quan tâm. Vui lòng chọn lớp mà bạn quan tâm: Lưu và trải nghiệm
Đóng
Điểm danh hàng ngày
  • Hôm nay +3
  • Ngày 2 +3
  • Ngày 3 +3
  • Ngày 4 +3
  • Ngày 5 +3
  • Ngày 6 +3
  • Ngày 7 +5
Bạn đã điểm danh Hôm nay và nhận 3 điểm!
Nhắn tin Zalo VNDOC để nhận tư vấn mua gói Thành viên hoặc tải tài liệu Hotline hỗ trợ: 0936 120 169

Đề thi tuyển sinh lớp 10 THPT chuyên Hoàng Văn Thụ, tỉnh Hòa Bình năm 2013 - 2014

Lớp: Lớp 10
Loại File: ZIP
Phân loại: Tài liệu Tính phí

Nhằm giúp các bạn học sinh lớp 9 chuẩn bị thi vào lớp 10 năm học 2014 - 2015. VnDoc.com xin giới thiệu tới bạn đọc: Đề thi tuyển sinh lớp 10 THPT chuyên Hoàng Văn Thụ, tỉnh Hòa Bình.

Đề thi tuyển sinh lớp 10 THPT môn Toán:

SỞ GIÁO DỤC VÀ ĐÀO TẠO
HÒA BÌNH

ĐỀ THI CHÍNH THỨC

KỲ THI TUYỂN SINH VÀO LỚP 10 NĂM HỌC 2013-2014
TRƯỜNG THPT CHUYÊN HOÀNG VĂN THỤ

ĐỀ THI MÔN: TOÁN CHUYÊN
Thời gian làm bài: 150 phút, không kể thời gian giao đề
Ngày thi: 29/06/2013

Bài 1. (2 điểm)

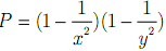
1) Cho x là số thực âm thỏa mãn Đề thi tuyển sinh lớp 10 THPT chuyên Hoàng Văn Thụ năm 2013 - 2014, tính giá trị của biểu thức Đề thi tuyển sinh lớp 10 THPT chuyên Hoàng Văn Thụ năm 2013 - 2014

2) Phân tích thành nhân tử biểu thức sau: x4 - 2y4 - x2y2 + x2 + y2

Bài 2. (3 điểm)

1) Cho tam giác ABC vuông tại A, góc ABC = 60o. Trung tuyến CD = 3/4 (cm). Tính diện tích tam giác ABC.

2) Trong hệ trục tọa độ Oxy, cho đường thẳng d: y = (m + 1)x - m (m là tham số). Tìm m để đường thẳng d cắt parabol (P): y = x2 tại hai điểm phân biệt A và B sao cho OA vuông góc với OB.

Bài 3. (2 điểm)

1) Cho x, y là hai số nguyên dương thỏa mãn x + y = 1, tìm giá trị nhỏ nhất của biểu thức: Đề thi tuyển sinh lớp 10 THPT chuyên Hoàng Văn Thụ năm 2013 - 2014

2) Tìm nghiệm x, y nguyên dương thỏa mãn phương trình: 2x2 - 2xy = 5x - y - 19

Bài 4. (2 điểm)

Cho đường tròn tâm O, bán kính R, A là một điểm cố định nằm ngoài đường tròn. Một đường tròn thay đổi đi qua hai điểm O, A cắt đường tròn (O) tại hai điểm P, Q. Chứng minh rằng đường thẳng PQ luôn đi qua một điểm có định. (Trước khi chứng minh hãy nêu dự đoán điểm cố định mà PQ đi qua, giải thích cách nghĩ)

Bài 5. (1 điểm) Có thể lát kín một cái sân hình vuông cạnh 3,5 m bằng những viên gạch hình chữ nhật kích thước 125 cm x 100 cm mà không cắt gạch được hay không?

Chọn file muốn tải về:
Đóng Chỉ thành viên VnDoc PRO/PROPLUS tải được nội dung này!
Đóng
79.000 / tháng
Đặc quyền các gói Thành viên
PRO
Phổ biến nhất
PRO+
Tải tài liệu Cao cấp 1 Lớp
30 lượt tải tài liệu
Xem nội dung bài viết
Trải nghiệm Không quảng cáo
Làm bài trắc nghiệm không giới hạn
Mua cả năm Tiết kiệm tới 48%
11

Có thể bạn quan tâm

Xác thực tài khoản!

Theo Nghị định 147/2024/ND-CP, bạn cần xác thực tài khoản trước khi sử dụng tính năng này. Chúng tôi sẽ gửi mã xác thực qua SMS hoặc Zalo tới số điện thoại mà bạn nhập dưới đây:

Số điện thoại chưa đúng định dạng!
Số điện thoại này đã được xác thực!
Bạn có thể dùng Sđt này đăng nhập tại đây!
Lỗi gửi SMS, liên hệ Admin
Sắp xếp theo
🖼️

Lớp 10

Xem thêm
🖼️

Gợi ý cho bạn

Xem thêm