Phép chia các phân thức đại số
Chuyên đề Toán học lớp 8: Phép chia các phân thức đại số được VnDoc sưu tầm và giới thiệu tới các bạn học sinh cùng quý thầy cô tham khảo. Nội dung tài liệu sẽ giúp các bạn học sinh học tốt môn Toán học lớp 8 hiệu quả hơn. Mời các bạn tham khảo.
Chuyên đề: Phép chia các phân thức đại số
A. Lý thuyết
1. Phân thức nghịch đảo.
Hai phân thức được gọi là nghịch đảo của nhau nếu tích của chúng bằng 1.
Tổng quát:
là một phân thức khác 0, ta có
=
. =1
Do đó ta có:
được gọi là phân thức nghịch đảo của phân thức
.
được gọi là phân thức nghịch đảo của phân thức
.
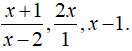
Ví dụ: Tìm phân thức nghịch đảo của các phân thức sau:
Hướng dẫn:
+ Phân thức nghịch đảo của phân thức (x + 1)/(x - 2) là (x - 2)/(x + 1).
+ Phân thức nghịch đảo của phân thức (2x)/1 là 1/(2x).
+ Phân thức nghịch đảo của phân thức x - 1 là 1/(x - 1).
2. Phép chia
Quy tắc: Muốn chia phân thức A/B cho phân thức C/D khác 0, ta nhân phân thức A/B với phân thức nghịch đảo của C/D
Ta có thể viết:
với C/D ≠ 0
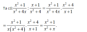
Ví dụ: Chia hai phân thức
Hướng dẫn:

B. Trắc nghiệm & Tự luận
I. Bài tập trắc nghiệm
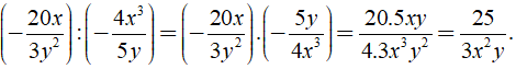
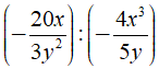
Bài 1: Kết quả của phép chia
là?
A. 5/(3x2y) B. - 5/(x2y) C. 25/(3x2y) D. - 25/(3x2y)
Ta có:

Chọn đáp án C.
Bài 2: Kết quả của phép tính
là?
Chọn đáp án C.
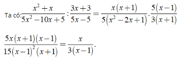
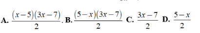
Bài 3: Kết quả của phép tính
là?
Chọn đáp án A.
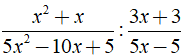
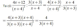
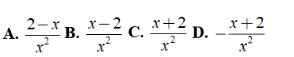
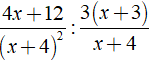
Bài 4: Kết quả của phép tính
được kết quả là?
Chọn đáp án A.
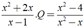
Bài 5: Biểu thức Q nào thỏa mãn
là?
Chọn đáp án B.
II. Bài tập tự luận
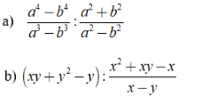
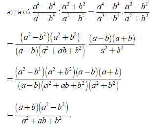
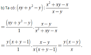
Bài 1: Thực hiện các phép tính sau?

Hướng dẫn:


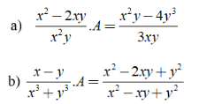
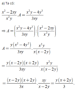
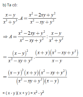
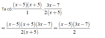
Bài 2: Tìm biểu thức A, biết rằng:

Hướng dẫn:


Trên đây VnDoc đã giới thiệu tới các bạn lý thuyết môn Toán học 8: Phép chia các phân thức đại số . Để có kết quả cao hơn trong học tập, VnDoc xin giới thiệu tới các bạn học sinh tài liệu Chuyên đề Toán học 8, Giải bài tập Toán lớp 8, Giải VBT Toán lớp 8 mà VnDoc tổng hợp và giới thiệu tới các bạn đọc