Phép nhân các phân thức đại số
Chuyên đề Toán học lớp 8: Phép nhân các phân thức đại số được VnDoc sưu tầm và giới thiệu tới các bạn học sinh cùng quý thầy cô tham khảo. Nội dung tài liệu sẽ giúp các bạn học sinh học tốt môn Toán học lớp 8 hiệu quả hơn. Mời các bạn tham khảo.
Chuyên đề: Phép nhân các phân thức đại số
A. Lý thuyết
1. Quy tắc phép nhân.
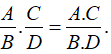
Muốn nhân hai phân thức với nhân, ta nhân các tử thức với nhau, các mẫu thức với nhau.
Ta có thể viết như sau:
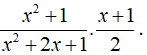
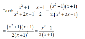
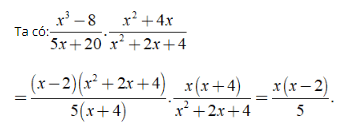
Ví dụ: Nhân hai phân thức
Hướng dẫn:

2. Các tính chất của phép nhân phân thức
Phép nhân phân thức có các tính chất sau:

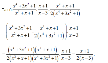
Ví dụ: Nhân các phân thức
Hướng dẫn:

B. Trắc nghiệm & Tự luận
I. Bài tập trắc nghiệm
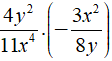
Bài 1: Kết quả của phép tính
là?
A. - (3y)/(22x2) B. (3y)/(22x2) C. y/(11x2) D. - y/(11x2)
Chọn đáp án A.
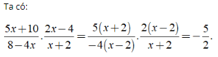
Bài 2: Rút gọn biểu thức
được kết quả là?
Chọn đáp án C.
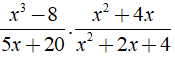
Bài 3: Rút gọn biểu thức
được kết quả là?
A. 5/2 B. 3/2 C. -3/2 D. -5/2
Chọn đáp án D.
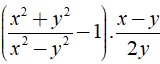
Bài 4: Rút gọn biểu thức
được kết quả là?
Chọn đáp án B.
Bài 5: Rút gọn biểu thức
được kết quả là?
A. (2x3 - 1)/x B. (1 - 2x3)/x C. 1/x D. - 1/x
Chọn đáp án A.
II. Bài tập tự luận
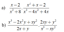
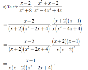
Bài 1: Thực hiện các phép tính sau:

Hướng dẫn:


Bài 2: Rút gọn rồi tính giá trị biểu thức
với x= 14 và y= -15
Hướng dẫn:

Trên đây VnDoc đã giới thiệu tới các bạn lý thuyết môn Toán học 8: Phép nhân các phân thức đại số . Để có kết quả cao hơn trong học tập, VnDoc xin giới thiệu tới các bạn học sinh tài liệu Chuyên đề Toán học 8, Giải bài tập Toán lớp 8, Giải VBT Toán lớp 8 mà VnDoc tổng hợp và giới thiệu tới các bạn đọc