Sử dụng công thức tính nhanh để giải bài tập toán Hóa học
SỬ DỤNG CÔNG THỨC TÍNH NHANH ĐỂ GIẢI
NHANH MỘT SỐ BÀI TẬP TOÁN HÓA
Giáo viên: TRẦN HẢI
Dạng 1: Cho hỗn hợp (Fe, FexOy) + HNO3dư → Fe(NO3)3 + NO + H2O. Tính m Fe(NO3)3
Công thức tổng quát: ![]()
VD1: Hòa tan hết 12gam X gồm có Fe, FeO, Fe2O3, Fe3O4 trong dung dịch HNO3 loãng dư được dung dịch chứa m gam muối và 2,24 lít NO (đktc).Tính m:
Ta có:![]()
VD2: Nung m gam Fe trong oxi được 6 gam hỗn hợp rắn X. Hòa tan hết X trong HNO3 loãng dư được 0,896 lít NO (đktc).Cô cạn dung dịch được m gam muối khan. Tính m.
Ta có:![]()
Dạng 2: Cho hỗn hợp (Fe, FeO, Fe2O3, Fe3O4) + HNO3đ,dư Fe(NO3)3 + NO2 + H2O
Công thức tổng quát: ![]()
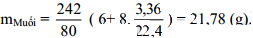
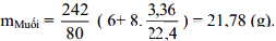
VD1: Hòa tan hết 6g chất rắn X gồm Fe, Fe2O3, FeO, Fe3O4) trong HNO3 đặc nóng dư được 3,36 lít NO2 (đktc). Cô cạn dung dịch được m gam muối khan.Tính m.
Ta có:![]()
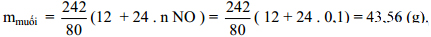
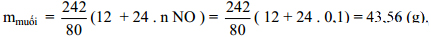
VD2: Dẫn lượng khí CO đi qua ống đựng Fe2O3 nung nóng thu được 4,5 gam chất rắn. Hòa tan X trong HNO3 đặc, nóng dư thu được 3,92/2 lít NO2 (đktc) .Cô cạn dung dịch thu được m gam muối khan. Tính m
Ta có:![]()
Dạng 3: Hỗn hợp (Fe, FexOy) + H2SO4 (đ,nóng) → Fe(SO4)3 + SO2 + H2O.
Công thức tổng quát: ![]()
VD1: Đun nóng m gam Fe ngoài không khí sau một thời gian thu được 8,8 gam X gồm Fe, FeO, Fe2O3, Fe3O4). Cho X tác dụng với H2SO4 đ,dư thu được 1,68 lít SO2 (đktc). Tính m
Ta có:
VD2: Hòa tan 30 gam chất rắn X gồm Fe, FeO, Fe2O3, Fe3O4 loãng H2SO4 đ, nóng thu được 11,2 lít SO2 (đktc). Cô cạn dung dịch sau phản ứng được bao nhiêu gam muối khan.
Ta có:![]()