Sự phụ thuộc của điện trở vào chiều dài dây dẫn
Chuyên đề Vật lý lớp 9: Sự phụ thuộc của điện trở vào chiều dài dây dẫn được VnDoc sưu tầm đăng tải. Dây dẫn là một bộ phận quan trọng của các mạch điện. Các dây dẫn có thể có kích thước khác nhau, được làm bằng các vật liệu dẫn điện khác nhau và có thể có điện trở khác nhau. Cần phải xác định xem điện trở của dây dẫn phụ thuộc vào những yếu tố nào và phụ thuộc vào các yếu tố đó như thế nào. Để trả lời câu hỏi đó các em tham khảo nội dung dưới đây nhé
| Đặt câu hỏi về học tập, giáo dục, giải bài tập của bạn tại chuyên mục Hỏi đáp của VnDoc | |
| Hỏi - Đáp | Truy cập ngay: Hỏi - Đáp học tập |
Chuyên đề: Sự phụ thuộc của điện trở vào chiều dài dây dẫn
A. Lý thuyết
I. TÓM TẮT LÍ THUYẾT
1. Xác định sự phụ thuộc của điện trở dây dẫn vào một trong những yếu tố khác nhau
Điểm khác nhau giữa các cuộn dây:
+ Vật liệu
+ Chiều dài
+ Tiết diện
⇒ Những yếu tố có thể ảnh hưởng đến điện trở của dây: Vật liệu, chiều dài và tiết diện.
2. Sự phụ thuộc của điện trở vào chiều dài dây dẫn
Để xác định điện trở của dây dẫn phụ thuộc vào chiều dài dây thì thay đổi chiều dài của dây dẫn, tiết diện dây và vật liệu làm dây dẫn phải như nhau (giữ nguyên).
⇒ Kết quả: Điện trở của các dây dẫn có cùng tiết diện và được làm từ cùng một loại vật liệu thì tỉ lệ thuận với chiều dài mỗi dây.

3. Liên hệ thực tế
- Mắc một bóng đèn vào hiệu điện thế không đổi bằng dây dẫn ngắn thì đèn sáng bình thường, nếu thay bằng dây dẫn khá dài có cùng tiết diện và được làm từ cùng một loại vật liệu thì đèn sáng yếu hơn.
⇒ Do điện trở dây dẫn phụ thuộc vào chiều dài, khi chiều dài tăng lên thì điện trở của dây tăng lên. Vì vậy điện trở của đoạn mạch cũng tăng lên. Như vậy, khi hiệu điện thế không thay đổi nhưng điện trở tăng lên thì cường độ dòng điện qua bóng đèn giảm đi ⇒ đèn sáng yếu hơn.
- Hệ thống đường dây tải điện 500 kV của nước ta từ Hòa Bình tới trạm Phú Lâm (Thành phố Hồ Chí Minh) tài 1530 km, gồm ba đường dây tải, mỗi đường dây tải này lại gồm bốn dây được liên kết lại với nhau bằng các khung kim loại. Nếu biết 1 km của mỗi dây này có điện trở là bao nhiêu thì ta có thể tính được điện trở của một dây này từ Hòa Bình tới Phú Lâm dựa theo tỉ số
B. Trắc nghiệm & Tự luận
Câu 1: Để tìm hiểu sự phụ thuộc của điện trở dây dẫn vào chiều dài dây dẫn, cần phải xác định và so sánh điện trở của các dây dẫn có những đặc điểm nào?
A. Các dây dẫn này phải có cùng tiết diện, được làm từ cùng một vật liệu nhưng có chiều dài khác nhau.
B. Các dây dẫn này phải có cùng chiều dài, được làm từ cùng một vật liệu nhưng có tiết diện khác nhau.
C. Các dây dẫn này phải có cùng chiều dài, cùng tiết diện nhưng được làm bằng các vật liệu khác nhau.
D. Các dây dẫn này phải được làm từ cùng một vật liệu nhưng có chiều dài và tiết diện khác nhau.
Để tìm hiểu sự phụ thuộc của điện trở dây dẫn vào chiều dài dây dẫn, cần phải xác định và so sánh điện trở của các dây dẫn có những đặc điểm: Các dây dẫn này phải có cùng tiết diện, được làm từ cùng một vật liệu nhưng có chiều dài khác nhau.
→ Đáp án A
Câu 2: Một đoạn dây dẫn bằng đồng dài l1 = 10m có điện trở R1 và một dây dẫn bằng nhôm dài l2 = 5m có điện trở R2. Câu trả lời nào dưới đây là đúng khi so sánh R1 và R2?
A. R1 = 2R2
B. R1 < 2R2
C. R1 > 2R2
D. Không đủ điều kiện để so sánh
→ Đáp án D
Câu 3: Điện trở của dây dẫn không phụ thuộc vào yếu tố nào dưới đây?
A. Vật liệu làm dây dẫn
B. Khối lượng của dây dẫn
C. Chiều dài của dây dẫn
D. Tiết diện của dây dẫn
Điện trở của dây dẫn không phụ thuộc vào khối lượng của dây dẫn
→ Đáp án B
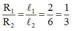
Câu 4: Hai dây dẫn bằng nhôm có cùng tiết diện, một dây dài 2m có điện trở R1 và dây kia dài 6m có điện trở R2. Tính tỉ số ![]()
A. 6 Ω
B. 2 Ω
C. 3 Ω
D. ![]()
Hai dây dẫn đều bằng nhôm, có cùng tiết diện ⇒ 
→ Đáp án D
Câu 5: Một dây dẫn dài 120m được dùng để quấn thành một cuộn dây. Khi đặt hiệu điện thế 30V vào hai đầu cuộn dây này thì cường độ dòng điện chạy qua nó là 125mA. Tính điện trở của cuộn dây.
A. 240 Ω B. 12 Ω C. 48 Ω D. 6 Ω
Điện trở của cuộn dây: 
→ Đáp án A
Câu 6: Một dây dẫn dài 120m được dùng để quấn thành một cuộn dây. Khi đặt hiệu điện thế 30V vào hai đầu cuộn dây này thì cường độ dòng điện chạy qua nó là 125mA. Mỗi đoạn dài 1m của dây dẫn này có điện trở là bao nhiêu?
A. 3 Ω B. 4 Ω C. 2 Ω D. 1 Ω
Điện trở của cuộn dây: 
Mỗi đoạn dài 1m của dây dẫn này có điện trở là: 
→ Đáp án C
Câu 7: Dây tóc của một bóng đèn khi chưa mắc vào mạch có điện trở là 24Ω . Mỗi đoạn dài 1cm của dây tóc này có điện trở là 1,5Ω . Tính chiều dài của toàn bộ sợi dây tóc bóng đèn đó.
A. 24 cm B. 12 cm C. 10 cm D. 16 cm
1 cm dây tóc có điện trở là 1,5 Ω
x cm dây tóc có điện trở là 24 Ω
⇒ Chiều dài của toàn bộ sợi dây tóc bóng đèn đó là: 
→ Đáp án D
Câu 8: Đường dây dẫn của một mạng điện trong gia đình nếu nối dài liên tiếp với nhau sẽ có chiều dài tổng cộng là 500m và điện trở của mỗi đoạn có chiều dài là 1m của đường dây này có điện trở trung bình là 0,02Ω . Tính điện trở tổng cộng của toàn bộ đường dây dẫn nối dài liên tiếp này.
1m dây có điện trở trung bình là 0,02(Ω )
500m dây có điện trở trung bình là x (Ω )
⇒ Điện trở tổng cộng của toàn bộ đường dây dẫn nối dài liên tiếp này là:

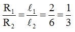
Câu 9: Hai dây dẫn bằng đồng có cùng tiết diện, dây thứ nhất có điện trở là 2Ω và có chiều dài là 10m, dây thứ hai có chiều dài là 30m. Tính điện trở của dây thứ hai.
Hai dây dẫn đều bằng nhôm, có cùng tiết diện ⇒ 
⇒ Điện trở của dây thứ hai là: 
Câu 10: Đoạn dây dẫn nối từ cột điện vào một gia đình có chiều dài tổng cộng là 50m và có điện trở tổng cộng là 0,5Ω . Hỏi mỗi đoạn dài 1m của dây này có điện trở là bao nhiêu?
50m dây dẫn điện có điện trở là 0,5 (Ω )
1m dây dẫn điện có điện trở là x (Ω )
⇒ Mỗi đoạn dài 1m của dây này có điện trở là: 
Ngoài ra, VnDoc.com đã thành lập group chia sẻ tài liệu học tập THCS miễn phí trên Facebook: Tài liệu học tập lớp 9. Mời các bạn học sinh tham gia nhóm, để có thể nhận được những tài liệu mới nhất.
Như vậy VnDoc đã chia sẻ Sự phụ thuộc của điện trở vào chiều dài dây dẫn. Hy vọng với tài liệu này sẽ giúp ích cho các em nắm chắc kiến thức, thông qua đó hiểu được dây dẫn phụ thuộc vào những yếu tố nào và phụ thuộc vào các yếu tố đó như thế nào. Chúc các em học tốt, nếu thấy hay hãy chia sẻ tài liệu cho các bạn cùng tham khảo nhé
........................
Trên đây VnDoc đã giới thiệu tới các bạn lý thuyết Vật lý 9: Sự phụ thuộc của điện trở vào chiều dài dây dẫn. Để có kết quả cao hơn trong học tập, VnDoc xin giới thiệu tới các bạn học sinh tài liệu Chuyên đề Vật lý 9, Giải bài tập Vật lý lớp 9, Giải bài tập Vật Lí 9, Tài liệu học tập lớp 9 mà VnDoc tổng hợp và giới thiệu tới các bạn đọc