Bài tập vận dụng định luật Jun - Lenxo
Chuyên đề Vật lý lớp 9: Bài tập vận dụng định luật Jun - Lenxo được VnDoc sưu tầm và giới thiệu tới các bạn học sinh cùng quý thầy cô tham khảo. Nội dung tài liệu sẽ giúp các bạn học sinh học tốt môn Vật lý lớp 9 hiệu quả hơn. Mời các bạn tham khảo.
Chuyên đề: Bài tập vận dụng định luật Jun - Lenxo
A. Lý thuyết
I. TÓM TẮT LÍ THUYẾT
- Nội dung định luật:
Nhiệt lượng tỏa ra ở dây dẫn khi có dòng điện chạy qua tỉ lệ thuận với bình phương cường độ dòng điện, với điện trở của dây dẫn và thời gian dòng điện chạy qua.
- Hệ thức của định luật: Q = I2.R.t
Trong đó: R là điện trở của vật dẫn (Ω)
I là cường độ dòng điện chạy qua vật dẫn (A)
t là thời gian dòng điện chạy qua vật dẫn (s)
Q là nhiệt lượng tỏa ra từ vật dẫn (J)
II. PHƯƠNG PHÁP GIẢI
1. Tính nhiệt lượng tỏa ra trên dây dẫn
Áp dụng định luật Jun – Len – xơ: Q = I2.R.t
Hay
2. Tính công suất tỏa nhiệt của dây dẫn
Áp dụng công thức:
Trong đó: Q là nhiệt lượng tỏa ra trên dây dẫn (J)
t là thời gian dòng điện chạy qua dây dẫn (s)
P là công suất tỏa nhiệt của dây dẫn (W)
3. Phương trình cân bằng nhiệt
Áp dụng phương trình cân bằng nhiệt: Qtỏa = Qthu
Trong đó Qtỏa là nhiệt lượng tỏa ra của dây dẫn
Qthu là nhiệt lượng thu vào
Lưu ý: Trong trường hợp điện trở của dây dẫn là điện trở thuần thì điện năng biến đổi hoàn toàn thành nhiệt năng. Khi đó Q = A.
B. Trắc nghiệm & Tự luận
Câu 1: Khi cho dòng điện chạy qua đoạn mạch gồm R1 và R2 mắc nối tiếp thì nhiệt lượng tỏa ra ở mỗi điện trở có mối quan hệ với các điện trở đó như thế nào?

→ Đáp án A
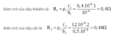
Câu 2: Một đoạn mạch gồm hai dây dẫn mắc nối tiếp, một dây bằng nikêlin dài 1m có tiết diện 1mm2 và dây kia bằng sắt dài 2m có tiết diện 0,5mm2. Khi cho dòng điện chạy qua đoạn mạch này trong cùng một thời gian thì dây nào tỏa ra nhiều nhiệt lượng hơn? Biết điện trở suất của nikêlin là 0,4.10-6 Ω .m và điện trở suất của sắt là 12.10-8 Ω .m
A. Dây nikêlin tỏa ra nhiều nhiệt lượng hơn
B. Dây sắt tỏa ra nhiều nhiệt lượng hơn
C. Hai dây tỏa nhiệt lượng bằng nhau
D. Cả ba đáp án đều sai
Ta có:

R1 và R2 mắc nối tiếp nên dòng điện chạy qua chúng có cùng cường độ I.
Kí hiệu nhiệt lượng tỏa ra ở các điện trở này tương ứng là Q1 và Q2 .
Ta có:

Mà R2 > R1 ⇒ Q2 > Q1
→ Đáp án B
Câu 3: Một bếp điện được sử dụng với hiệu điện thế 220V thì dòng điện chạy qua bếp điện có cường độ 3A. Dùng bếp này đun sôi được 2 lít nước từ nhiệt độ ban đầu 200 trong thời gian 20 phút. Tính hiệu suất của bếp điện, biết nhiệt dung riêng của nước là c = 4200J/kg.K
A. 84,8 % B. 40% C. 42,5% D. 21,25%
Nhiệt lượng mà bếp tỏa ra trong 20 phút là:
Qtp = U.I.t = 220.3.20.60 = 792000 J
Nhiệt lượng cần cung cấp để đun sôi lượng nước này là:
Q1 = c.m(t2 – t1) = 4200.2.80 = 672000 J
Hiệu suất của bếp là:

→ Đáp án A
Câu 4: Một bình nóng lạnh có ghi 220V – 1100W được sử dụng với hiệu điện thế 220V. Tính thời gian để bình đun sôi 10 lít nước từ nhiệt độ 200C, biết nhiệt dung riêng của nước là 4200 J/kg.K và nhiệt lượng bị hao phí là rất nhỏ.
A. 30 phút 45 giây
B. 44 phút 20 giây
C. 50 phút 55 giây
D. 55 phút 55 giây
Thời gian để bình đun sôi 10 lít nước từ nhiệt độ 200C là:
→ Đáp án C
Câu 5: Trong mùa đông, một lò sưởi điện có ghi 220V – 880W được sử dụng với hiệu điện thế 220V trong 4 giờ mỗi ngày. Tính nhiệt lượng mà lò sưởi này tỏa ra trong mỗi ngày.
A. 4,92 kW.h B. 3,52 kW.h
C. 3,24 kW.h D. 2,56 kW.h

Nhiệt lượng tỏa ra của lò sưởi:
Q = U.I.t = 220.4.4.3600 = 12672000 J = 3,52 kW.h
→ Đáp án B
Câu 6: Một ấm điện có ghi 220V – 1200W được sử dụng với hiệu điện thế đúng 220V để đun sôi 2,5 lít nước từ nhiệt độ ban đầu là 200C. Bỏ qua nhiệt lượng làm nóng vỏ ấm và nhiệt lượng tỏa vào môi trường. Tính thời gian đun sôi nước.
Nhiệt lượng cần cung cấp để đun sôi 2,5 lít nước (tương ứng với 2,5 kg nước) là:
Q = m.c.(t2 – t1) = 2,5.4200.(100 – 20) = 840000 J
Vì bỏ qua nhiệt lượng làm nóng vỏ ấm và nhiệt lượng tỏa vào môi trường nên nhiệt lượng Q chính là công A của dòng điện.
Ta có: 
Câu 7: Dây điện trở của một bếp điện làm bằng nicrom có điện trở suất 1,1.10-6 Ω m, chiều dài 4,5m, tiết diện 0,05 mm2.
a) Tính điện trở của dây.
b) Bếp được sử dụng ở hiệu điện thế U = 220V. Hãy tính công suất của bếp điện từ đó suy ra nhiệt lượng tỏa ra của bếp trong 30 phút.

Câu 8: Người ta dùng bếp điện để đun sôi 2 lít nước từ nhiệt độ t = 200C. Để đun sôi lượng nước đó trong 20 phút thì phải dùng bếp điện có công suất bao nhiêu? Biết nhiệt dung riêng của nước c = 4,18.103 J/kg.độ, hiệu suất của bếp H = 80%.
Nhiệt lượng cần thiết để đun sôi nước:
Q1 = m.c.(t2 – t1)
Nhiệt lượng có ích do bếp cung cấp trong thời gian t:
Q2 = H.P.t
Trong đó P là công suất của bếp, H là hiệu suất
Ta có phương trình cân bằng nhiệt: Q1 = Q2
⇒ m.c.(t2 – t1) = H.P.t

Vậy phải dùng bếp điện có công suất là 697W
Câu 9: Một đoạn mạch gồm hai dây dẫn mắc nối tiếp, một dây dẫn bằng nikelin dài 3m có tiết diện 1 mm2 và dây kia bằng sắt dài 8m có tiết diện 0,5 mm2. Hỏi khi cho dòng điện chạy qua đoạn mạch này trong cùng một thời gian thì dây nào tỏa nhiều nhiệt lượng hơn?
Điện trở của dây nikelin:

Vậy Q2 = 1,6.Q1
Câu 10: Một bếp điện loại 220V – 1000W được sử dụng với hiệu điện thế 220V để đun sôi 2 lít nước có nhiệt độ ban đầu 250C. Hiệu suất của quá trình đun là 85%.
a) Tính thời gian đun sôi nước, biết nhiệt dung riêng của nước là 4200 J/kg.K.
b) Mỗi ngày đun sôi 4 lít nước bằng bếp trên thì trong 1 tháng (30 ngày) phải trả bao nhiêu tiền điện cho việc đun này? Cho biết giá điện là 700 đồng/kW.h.
a) Nhiệt lượng cần thiết để đun sôi 2 lít nước (ứng với 2kg nước) là:
Q1 = m.c.(t2 – t1) = 2.4200.(100 – 25) = 630000 J
Nhiệt lượng do bếp tỏa ra:

b) Để đun sôi 4 lít nước cần nhiệt lượng:
Q’ = 741176,5.2 = 1482352,9 J
Điện năng do bếp tiêu thụ trong một tháng:
Q = 30.Q’ = 30.1482352,9 = 44470588,2 J = 12,35 kW.h
Tiền điện phải trả: T = 700.12,35 = 8645 đồng
Trên đây VnDoc đã giới thiệu tới các bạn lý thuyết Vật lý 9: Bài tập vận dụng định luật Jun - Lenxo. Để có kết quả cao hơn trong học tập, VnDoc xin giới thiệu tới các bạn học sinh tài liệu Chuyên đề Vật lý 9, Giải bài tập Vật lý lớp 9, Giải bài tập Vật Lí 9, Tài liệu học tập lớp 9 mà VnDoc tổng hợp và giới thiệu tới các bạn đọc