30 đề thi thử tốt nghiệp THPT môn Toán 2014
BỘ GIÁO DỤC - ĐÀO TẠOĐỀ THI THỬ SỐ: 01 |
KỲ THI TỐT NGHIỆP TRUNG HỌC PHỔ THÔNG NĂM 2014Môn thi: TOÁN – Giáo dục trung học phổ thông |
I. PHẦN CHUNG CHO TẤT CẢ CÁC THÍ SINH (7,0 điểm)
Câu 1 (3,0 điểm): Cho hàm số y = -x3 + 3x2 - 4
1) Khảo sát sự biến thiên và vẽ đồ thị (C) của hàm số đã cho.
2) Tìm tất cả các giá trị của tham số m sao cho phương trình - x3 + 3x2 - m = 0 có 3 nghiệm thực phân biệt.
Câu 2 (3,0 điểm):
1) Giải bất phương trình: ![]()
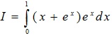
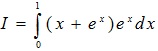
2) Tính tích phân: 
3) Tìm tất cả các giá trị của m để hàm số y = x3 - 2mx2 + m2x - 2 đạt cực tiểu tại x = 1.
Câu 3 (1,0 điểm):
Cho hình chóp S.ABCD có đáy ABCD là hình chữ nhật, các mặt bên (SAB) và (SAD) vuông góc với đáy, SA = AB = a, góc SAD = 30o. Tính thể tích khối chóp S.ABCD.
II. PHẦN RIÊNG (3,0 điểm): Thí sinh chỉ được chọn một trong 2 phần (phần 1 hoặc phần 2)
Phần 1. Theo chương trình Chuẩn:
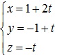
Câu 4a (2,0 điểm): Trong không gian với hệ toạ độ Oxyz cho điểm A(1; 2; 3), đường thẳng (Δ) có phương trình
và mặt phẳng (α) có phương trình: 2x + 2y + z - 1 = 0.
1) Viết phương trình mặt phẳng (P) đi qua A và vuông góc với đường thẳng (Δ).
2) Viết phương mặt cầu (S) tâm I nằm trên đường thẳng Δ, tiếp xúc với mặt phẳng (α) và có bán kính bằng 2.
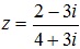
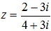
Câu 5a (1,0 điểm): Tìm số phức liên hợp của số phức ![]()
Phần 2. Theo chương trình Nâng cao:
Câu 4b (2,0 điểm):
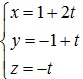
Trong không gian với hệ toạ độ Oxyz cho điểm M (2; 1; 3) và đường thẳng (d) có phương trình: ![]()
1) Viết phương trình mặt phẳng (α) đi qua điểm M và chứa trục Ox.
2) Viết phương trình đường thẳng đi qua M, cắt và vuông góc với đường thẳng (d).
Câu 5b (1,0 điểm ): Tìm các số thực x, y thỏa mãn x(1 + 3i) + y(1 - i)3 = 3 + 13i.