Truyền và Biến đổi chuyển động
Công nghệ 8: Truyền và Biến đổi chuyển động
Lý thuyết Công nghệ 8: Biến đổi chuyển động giải thích rõ ràng khái niệm biến đổi chuyển động và tầm quan trọng của các cơ cấu này trong thực tiễn, ví dụ như cách máy khâu biến chuyển động quay của vô lăng thành chuyển động tịnh tiến của kim.
Thông qua tài liệu, các em sẽ nắm vững cấu tạo và nguyên lý làm việc của các cơ cấu phổ biến như tay quay - thanh lắc hay bánh răng - thanh răng. Đây là nguồn học liệu hữu ích giúp học sinh củng cố tư duy kỹ thuật, hiểu rõ cơ chế vận hành của thiết bị quanh mình và chuẩn bị chu đáo cho các bài kiểm tra môn Công nghệ 8.
A. Lý thuyết Truyền và biến đổi chuyển động
Công nghệ 8 Chân trời sáng tạo
1. Truyền chuyển động

- Nguồn chuyển động từ vật dẫn thường được truyền tới các bộ phận khác để thực hiện chức năng hoặc để thay đổi tốc độ của sản phẩm khi máy móc hoạt động.
- Ví dụ: chuyển động từ bàn đạp được truyền tới bánh xe sau của xe đạp (Hình 6.2).
- Các bộ truyền động thông dụng trong cơ khí gồm truyền động ăn khớp và truyền động đai.
1.1. Truyền động ăn khớp
a. Cấu tạo

- Bộ truyền động ăn khớp gồm một cặp bánh răng hoặc đĩa xích
- Truyền động bánh răng hoặc truyền động xích ăn khớp với nhau
- Bánh răng hoặc đĩa xích truyền chuyển động cho nhau (Hình 6.3 minh họa)
b. Nguyên lí hoạt động
- Khi bánh dẫn 1 (có Z1 răng) quay với tốc độ n1 (vòng/phút), bánh dẫn 2 (có Z2 răng) quay với tốc độ n2 (vòng/phút)
- Tỉ số truyền (i) được tính theo công thức (1)

- Công thức (2) cho biết bánh có số răng ít hơn sẽ quay nhanh hơn
- Khi i = 1, bộ truyền giữ nguyên tốc độ; i < 1, bộ truyền tăng tốc và khi i> 1, bộ truyền giảm tốc.
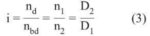
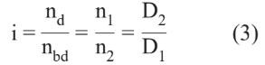
1.2. Truyền động đai
a. Cấu tạo

- Bộ truyền động bánh đai gồm một cặp bánh đai truyền chuyển động cho nhau bằng dây đai
- Bộ truyền động đai sử dụng ma sát để truyền chuyển động và nới rộng khoảng cách giữa các trục (Hình 6.5)
b. Nguyên lí hoạt động
- Tỉ số truyền (i) giữa các bánh đai được tính theo công thức (3) khi bánh dẫn 1 (đường kính D1) quay với tốc độ n1 (vòng/phút) và bánh dẫn 2 (đường kính D2) quay với tốc độ n2 (vòng/phút)

- Khi i = 1, bộ truyền giữ nguyên tốc độ; i < 1, bộ truyền tăng tốc và khi i >1, bộ truyền giảm tốc.
2. Biến đổi chuyển động
2.1. Cơ cấu tay quay con trượt
a. Cấu tạo

- Các bộ phận của máy hoặc vật thể có nhiều dạng chuyển động khác nhau.
- Khi dạng chuyển động của máy khác với bộ phận tạo chuyển động, cần có cơ cấu để biến đổi.
- Có hai loại cơ cấu biến đổi chuyển động: quay thành tịnh tiến hoặc ngược lại, quay chuyển động lắc hoặc ngược lại.
b. Nguyên lí hoạt động
- Tay quay 1 quay quanh trục A, đầu B của thanh truyền 2 chuyển động tròn, làm cho con trượt 3 chuyển động tịnh tiến hoặc lên xuống trong giá đỡ 4.
- Cơ cấu biến đổi chuyển động quay thành chuyển động tịnh tiến hoặc ngược lại tùy theo bộ phận dẫn động.
2.2. Cơ cấu tay quay thanh lắc
a. Cấu tạo
Cơ cấu tay quay con trượt gồm tay quay 1, thanh truyền 2, con trượt 3 và giá đỡ 4.

b. Nguyên lí hoạt động
- Tay quay 1 quay quanh trục A.
- Thanh truyền 2 kết nối với thanh lắc 3.
- Thanh lắc 3 lắc qua lại quanh trục D một góc xác định.
3. Tháo lắp và tính tỉ số truyền của một số bộ phận truyền và biến đổi chuyển động
3.1. Chuẩn bị
- Thiết bị: mô hình bộ truyền và biến đổi chuyển động.
- Dụng cụ: kìm, tua vít, mỏ lết,...
3.2. Nội dung
- Tháo lắp bộ truyền và biến đổi chuyển động.
- Tính tỉ số truyền của bộ truyền động.
3.3. Yêu cầu kĩ thuật
- Tháo lắp bộ truyền và biến đổi chuyển động đúng cấu trúc.
- Mô hình chuyển động nhẹ, êm sau khi lắp.
- Tính được tỉ số truyền của bộ truyền động.
3.4. Tiến trình thực hiện
Quy trình tháo lắp và tính tỉ số truyền của bộ truyền động giống như ví dụ ở Bảng 6.1.

B. Giải bài tập Công nghệ 8 Biến đổi chuyển động Sách mới
- Giải Công nghệ 8 KNTT Bài 7: Truyền và biến đổi chuyển động
- Giải Công nghệ 8 CTST Bài 6: Truyền và biến đổi chuyển động
- Giải Công nghệ 8 Chân trời sáng tạo Bài 8: Truyền và biến đổi chuyển động
C. Câu hỏi trắc nghiệm
Câu 1: Các bộ phận trong máy có:
A. Duy nhất một dạng chuyển động
B. Có 2 dạng chuyển động
C. Có nhiều dạng chuyển động khác nhau
D. Đáp án khác
Đáp án: C
Câu 2: Trong máy khâu, muốn may được vải thì kim máy phải chuyển động:
A. Thẳng lên xuống
B. Thẳng từ dưới lên theo một chiều
C. Thẳng từ trên xuống theo một chiều
D. Tròn
Đáp án: A
Câu 3: Từ một dạng chuyển động ban đầu, muốn biến thành các dạng chuyển động khác cần có mấy cơ cấu biến đổi chuyển đông?
A. 1 B. 2 C. 3 D. 4
Đáp án: B
Đó là cơ cấu biến đổi chuyển động quay thành chuyển động tịnh tiến hoặc ngược lại và cơ cấu biến đổi chuyển động quay thành chuyển động lắc hoặc ngược lại.
Câu 4: Cơ cấu tay quay – con trượt thuộc cơ cấu:
A. Biến chuyển động quay thành chuyển động tịnh tiến
B. Biến chuyển động tịnh tiến thành chuyển động quay
C. Biến chuyển động quay thành chuyển động lắc
D. Biến chuyển dộng lắc thành chuyển động quay
Đáp án: A
Câu 5: Cấu tạo cơ cấu tay quay – con trượt gồm mấy bộ phận?
A. 2 B. 3 C. 4 D. 5
Đáp án: C
Đó là tay quay, thanh truyền, con trượt, giá đỡ.
Câu 6: Ứng dụng cơ cấu tay quay – con trượt dùng trong:
A. Máy khâu đạp chân
B. Máy cưa gỗ
C. Ô tô
D. Cả 3 đáp án trên
Đáp án: D
Câu 7: Cơ cấu tay quay – thanh lắc thuộc cơ cấu:
A. Biến chuyển động quay thành chuyển động tịnh tiến
B. Biến chuyển động quay thành chuyển động lắc
C. Biến chuyển động tịnh tiến thành chuyển động quay
D. Biến chuyển động lắc thành chuyển động quay
Đáp án: B
Câu 8: Cấu tạo cơ cấu tay quay – thanh lắc gồm mấy bộ phận?
A. 2 B. 3 C. 4 D. 5
Đáp án: C
Đó là tay quay, thanh truyền, thanh lắc, giá đỡ.
Câu 9: Ứng dụng của cơ cấu tay quay – thanh lắc trong:
A. Máy dệt
B. Máy khâu đạp chân
C. Xe tự đẩy
D. Cả 3 đáp án trên
Đáp án: D
Câu 10: Trong cơ cấu tay quay – thanh lắc, khâu dẫn là cách gọi khác của:
A. Tay quay B. Thanh truyền C. Thanh lắc D. Giá đỡ
Đáp án: A