Bộ đề kiểm tra cuối học kì 2 môn Toán lớp 9 của một số quận ở Hà Nội năm 2016 - 2017
Bộ đề kiểm tra cuối học kì 2 môn Toán lớp 9
Bộ đề kiểm tra cuối học kì 2 môn Toán lớp 9 của một số quận ở Hà Nội năm 2016 - 2017 là tài liệu tham khảo hữu ích, giúp các bạn ôn thi tốt cuối học kì 2 môn Toán lớp 9 này. Mời các bạn cùng tham khảo nhằm đạt kết quả cao trong bài thi của mình.
Đề kiểm tra học kì 2 môn Toán lớp 9 trường THPT chuyên Hà Nội Amsterdam năm học 2016 - 2017
Đề kiểm tra học kì 2 môn Toán lớp 9 sở Giáo dục và đào tạo Tiền Giang năm 2014 - 2015
ĐỀ KIỂM TRA HỌC KÌ II – TOÁN 9
Nguồn st: Quận Thanh Xuân
Năm học 2016 – 2017
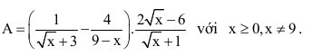
Bài 1 (2,0 điểm)
Cho biểu thức
![]()
1) Rút gọn biểu thức A.
2) Tính giá trị của biểu thức A khi.
3) Tìm x để A đạt giá trị lớn nhất.
Bài 2 (2,0 điểm) Giải bài toán sau bằng cách lập phương trình hoặc hệ phương trình:
Hai xe máy khởi hành cùng một lúc trên quãng đường từ A đến B dài 120km. Mỗi giờ xe máy thứ nhất chạy nhanh hơn xe máy thứ hai là 10km nên xe máy thứ nhất đến B trước xe máy thứ hai là 1 giờ. Tính vận tốc của mỗi xe máy.
Bài 3 (2,0 điểm)
1) Lập phương trình bậc hai có hai nghiệm là x1 = 1 + 2√3 và 1 - 2√3
2) Trong mặt phẳng tọa độ Oxy cho đường thẳng (d): y = mx - 1 (m≠0) và parabol (P): y = -x2
a) Chứng minh (d) luôn cắt (P) tại hai điểm phân biệt với mọi giá trị của m.
b) Gọi x1; x2 là hoành độ giao điểm của (d) và (P). Tìm m sao cho x21 + x22 = 6
Bài 4 (3,5 điểm) Trên đường tròn (O) đường kính AB = 2R, lấy một điểm C sao cho AC = R và lấy điểm D bất kỳ trên cung nhỏ BC (D không trùng với B và C). Gọi E là giao điểm AD và BC. Đường thẳng đi qua E và vuông góc với đường thẳng AB tại H cắt AC tại F. Gọi M là trung điểm của EF.
1) Chứng minh BHCF là tứ giác nội tiếp.
2) Chứng minh: HA.HB = HE.HF.
3) Chứng minh: CM là tiếp tuyến của (O).
4) Xác định vị trí của điểm D để chu vi tứ giác ABDC là lớn nhất.
Bài 5 (0,5 điểm)
Cho hai số dương x, y thỏa mãn: x + y = 1
Tìm giá trị nhỏ nhất của biểu thức
![]()
ĐỀ KIỂM TRA HỌC KÌ II – TOÁN 9
Nguồn st: Quận Hoàng Mai (Năm học 2016 – 2017)
Thời gian làm bài: 90 phút
Ngày: 22/04/2017
I. TRẮC NGHIỆM (1,0 điểm)
Chọn các phương án đúng
Câu 1. Cho (P): y= -1/2 x2. Trong các điểm sau, điểm thuộc (P) là:
A. (-4;-8) B. (-2;2) C. (4;-8) D. (-8;4)
Câu 2. Cho phương trình x2 + 2mx + m2 - m + 1 = 0. Để phương trình có hai nghiệm phân biệt thì:
A. m>-1 B. m≥1 C. m>1 D. m<1
Câu 3. Cho đường tròn (O,R). Hai điểm M, N thuộc đường tròn sao cho MON = 1200. Khi đó đô dài cung nhỏ MN là:
![]()
Câu 4. Người ta cần trang trí kín mặt xung quanh một lọ gốm hình trụ có thể tích bằng 36π (cm3), bán kính đáy bằng 3cm. Khi đó diện tích cần trang trí là:
A. 9π(cm2) B.24π(cm2) C. 12π(cm2) D. 18π(cm2)
(Hướng dẫn: Nếu câu 1 em chọn phương án A, B thì ghi 1.A, B)
II. TỰ LUẬN (9,0 điểm)
Bài 1 (2,5 điểm)
1) Cho phương trình: x2 + 2(m - 1)x - 4m = 0 (1)
a) Giải phương trình với m = 2.
b) Tìm m để phương trình (1) có hai nghiệm phân biệt x1; x2 và x1; x2 là hai số đối nhau.
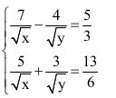
2) Giải hệ phương trình sau:

Bài 2 (2,5 điểm) Giải bài toán bằng cách lập phương trình hoặc hệ phương trình:
Cho số tự nhiên có hai chữ số, biết rằng tổng hai chữ số của nó bằng 5; bình phương chữ số hàng chục hơn chữ số hàng đơn vị là 1 đơn vị. Tìm số đó.
Bài 3 (3,5 điểm) Cho nửa đường tròn (O), đường kính AB. Lấy hai điểm C, M bất kì thuộc nửa đường tròn sao cho AC = CM (AC và CM khác MB). Gọi D là giao điểm của AC và BM; H là giao điểm của AM và BC.
1. Chứng minh: Tứ giác CHMD nội tiếp.
2. Chứng minh: DA . DC = DB . DM.
3. Tiếp tuyến tại A của đường tròn (O) cắt tia BC tại K. Chứng minh rằng:
![]()
4. Gọi Q là giao điểm của DH và AB. Chứng minh rằng: khi điểm C di chuyển trên nửa đường tròn sao cho AC = CM thì đường tròn ngoại tiếp ∆CMQ luôn đi qua một điểm cố định.
Bài 4 (0,5 điểm) Giải bất phương trình sau: √x - 1 + √3 - x + 4x √2x ≤ x3 + 10
ĐỀ KIỂM TRA HỌC KÌ II – TOÁN 9
Nguồn st: Quận Ba Đình (Năm học 2016 – 2017)
Thời gian làm bài: 120 phút
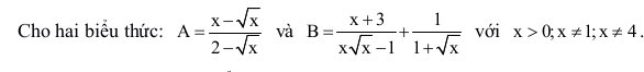
Bài 1 (2,0 điểm)
![]()
1) Tính giá trị của biểu thức A khi x = 36.
2) Rút gọn biểu thức P = A.B.
3) So sánh P với 1/3.
Bài 2 (2,0 điểm) Giải bài toán sau bằng cách lập phương trình hoặc hệ phương trình:
Tổng số học sinh khối 8 và khối 9 cả một trường là 400 em, trong đó có 252 em là học sinh giỏi. Tính số học sinh của mỗi khối, biết rằng số học sinh giỏi khối 8 chiếm tỉ lệ 60% số học sinh khối 8, số học sinh giỏi khối 9 chiếm tỉ lệ 65% số học sinh khối 9.
Bài 3 (2,0 điểm)

2) Cho phương trình x2 - 2(m - 2)x + m - 6 = 0
a) Tìm m để phương trình có một nghiệm x = -1 và tìm nghiệm còn lại.
b) Chứng minh phương trình luôn có hai nghiệm phân biệt x1; x2 với mọi giá trị của m và tìm m để x1 - x2 = 4.
Bài 4 (3,5 điểm) Trên đường tròn (O) đường kính AB = 2R, lấy một điểm M sao cho AM = R và lấy điểm N bất kỳ trên cung nhỏ BM (N khác M và B). Gọi I là giao điểm AN và BM, H là hình chiếu của I trên AB.
1) Chứng minh tứ giác IHBN nội tiếp.
2) Chứng minh HI là tia phân giác của góc MHN.
3) Chứng minh đường tròn ngoại tiếp tam giác MHN luôn đi qua hai điểm cố định.
4) Xác định vị trí của điểm N để chu vi tứ giác AMNB lớn nhất.
Bài 5 (0,5 điểm) Cho các số thực không âm a và b thỏa mãn điều kiện √a + √b = √2.
Tìm giá trị nhỏ nhất và giá trị nhỏ nhất của biểu thức T = a√a + b√b.
Còn tiếp