Bộ đề thi 8 tuần học kì 2 môn Toán trường THPT Số 1 Bảo Yên, Lào Cai năm học 2015 - 2016
Đề ôn thi THPT Quốc gia 2016 môn Toán có đáp án
Bộ đề thi 8 tuần học kì 2 môn Toán trường THPT Số 1 Bảo Yên, Lào Cai năm học 2015 - 2016 được VnDoc.com sưu tầm và đăng tải. Đây là đề luyện thi hữu ích dành cho các bạn học sinh lớp 12, những bạn chuẩn bị bước vào kì thi THPT Quốc gia muốn ôn tập và củng cố kiến thức môn Toán. Mời các bạn tham khảo.
|
SỞ GD & ĐT LÀO CAI TRƯỜNG THPT SỐ 1 BẢO YÊN |
ĐỀ THI 8 TUẦN HỌC KÌ II NĂM HỌC 2015 - 2016 MÔN THI: TOÁN Thời gian làm bài: 180 phút, không kể thời gian phát đề |
Câu 1 (1 điểm). Khảo sát sự biến thiên và vẽ đồ thị (C) của hàm số y = -x3 + 3x2.
Câu 2 (1 điểm). Tìm giá trị lớn nhất và nhỏ nhất của hàm số y = x3 + 4x2 - 3x - 5 trên đoạn [-2,1]
Câu 3. (1 điểm).
a) Cho số phức z = 3 - 2i. Tìm phần thực và phần ảo của số phức ![]()
b) Giải phương trình: log22x + 2log2x - 3 = 0
Câu 4. (1 điểm). Tính tích phân ![]()
Câu 5.(1 điểm). Trong không gian với hệ trục tọa độ Oxyz, cho điểm A(2;2;-1) và mặt phẳng (P): x + 2y - z + 5 = 0.
a) Viết phương trình mặt phẳng (Q) đi qua đi điểm A, song song với (P).
b) Viết phương trình mặt cầu tâm A tiếp xúc với mặt phẳng (P).
Câu 6 (1 điểm).
a) Cho tan a = 2. Tính giá trị biểu thức: 
b) Gọi A là tập hợp tất cả các số tự nhiên gồm 4 chữ số phân biệt được chọn từ các chữ số: 0; 1; 2; 3; 4; 5; 6. Chọn ngẫu nhiên một số từ tập A. Tính xác suất để số chọn được là số chia hết cho 5.
Câu 7 (1 điểm). Cho hình chóp S.ABCD có đáy ABCD là hình thoi cạnh a,
. Cạnh bên SA vuông góc với mặt đáy và cạnh bên SC tạo với mặt đáy một góc 60o. Gọi I là trung điểm BC, H là hình chiếu vuông góc của A lên SI. Tính thể tích khối chóp S.ABCD và khoảng cách từ điểm H đến mặt phẳng (SCD) theo a.
Câu 8 (1 điểm). Trong mặt phẳng tọa độ Oxy, cho tam giác ABC nhận trục hoành làm đường phân giác trong của góc A, điểm
E(3;-1) thuộc đường thẳng BC và đường tròn ngoại tiếp tam giác ABC có phương trình x2 + y2 - 2x - 10y - 24 = 0. Tìm tọa độ các đỉnh A, B, C biết điểm A có hoành độ âm.
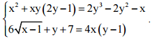
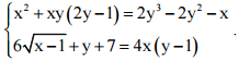
Câu 9 (1 điểm). Giải hệ phương trình 
Câu 10 (1 điểm). Cho a, b, c là các số thực dương. Tìm giá trị nhỏ nhất của biểu thức
![]()
Đáp án đề ôn thi THPT Quốc gia môn Toán năm 2016
Câu 1:
Tập xác định D = R
Sự biến thiên y' = -3x2 + 6x; y' = 0 → x = 0 hoặc x = 2.
Trên các khoảng (-∞;0) và (2;+∞), y'<0 nên hàm số nghịch biến.
Trên khoảng (0;2), y' > 0 nên hàm số đồng biến.
Hàm số đạt cực tiểu tại x = 0, yct = 0; đạt cực đại tại x = 2, ycđ = 4.
Giới hạn: ![]()
Bảng biến thiên

Đồ thị

Câu 2:

(Còn tiếp)