Phân loại:
Tài liệu Tính phí
Khang Anh
Toán họcThư viện Học liệu
Lớp 9
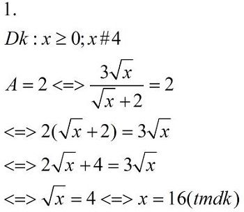
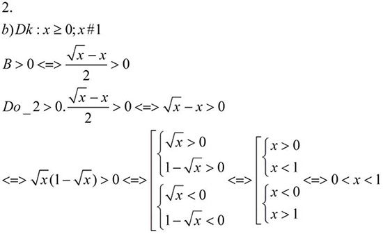
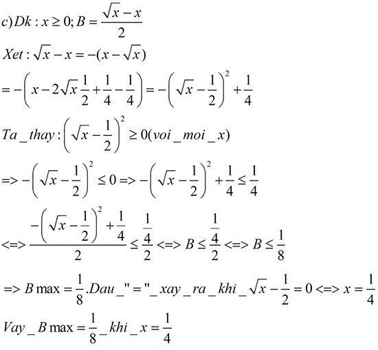
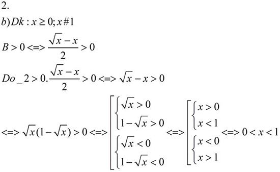
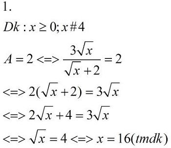
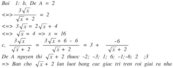
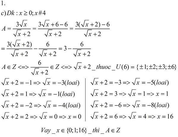
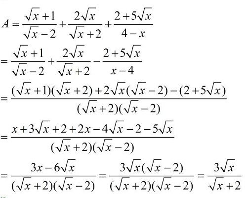
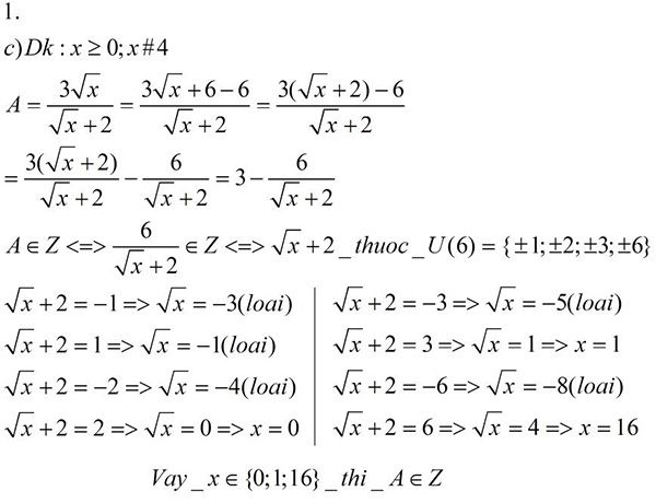
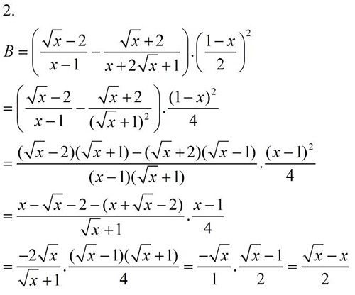
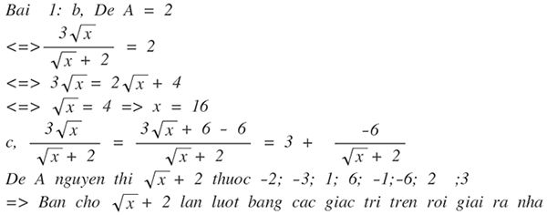
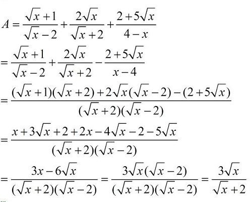
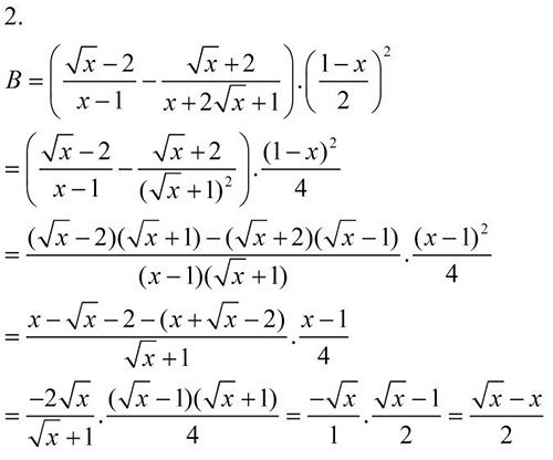
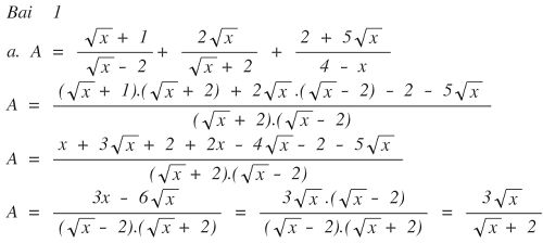
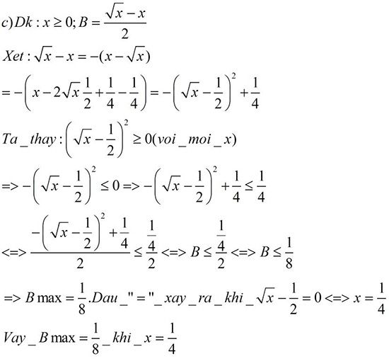
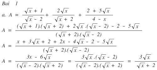
Cho biểu thức A. Rút gọn biểu thức A. Tìm x để A = 2. Tìm x nguyên để A là số nguyên

Xác thực tài khoản!
Theo Nghị định 147/2024/ND-CP, bạn cần xác thực tài khoản trước khi sử dụng tính năng này. Chúng tôi sẽ gửi mã xác thực qua SMS hoặc Zalo tới số điện thoại mà bạn nhập dưới đây:
Số điện thoại chưa đúng định dạng!
Xóa
Đăng nhập để viết
5 Câu trả lời
-
Ai Doruyashiヾ(•ω•`)o Trả lời hay12 Trả lời · 22/01/22 -
Cáo0 Trả lời · 21/01/22 -
Vi Emm ✔️0 Trả lời · 21/01/22 -
Quỳnh Trần0 Trả lời · 08/02/22 -
Vi Emm ✔️0 Trả lời · 21/01/22