Đề chọn đội tuyển Olympic Toán Đại học Ngoại Thương năm 2013
TRƯỜNG ĐẠI HỌC NGOẠI THƯƠNG
|
KỲ THI OLYMPIC TOÁN SINH VIÊN 2013MÔN: TOÁN HỌC |
Câu 1.
Cho ma trận: 
Đặt
với E là ma trận đơn vị cấp 3. Tính: limn→∞Un
Câu 2.
Dãy số Fibonaci được định nghĩa bởi Fo = 1; F1 = 1; Fn1 = FnFn-1 nếu n ≥ 1
a) Chứng minh rằng: F2n - Fn-1Fn1 = (-1)n nếu n ≥ 1
b) Tính giá trị của ![]()
Câu 3.
Với ai, bi (i = 1, 2,..., n) là các số thực cho trước đôi một phân biệt. Xét hệ phương trình sau:
a) Giải hệ phương trình
b) Tính tổng các ngiệm
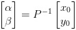
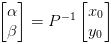
Câu 4.
Cho
là một ma trận thực hoặc phức với các giá trị riêng phân biệt λ1, λ2 và các vector riêng tương ứng X1, X2. Cho P = [X1\X2].
Chứng minh rằng hệ
có nghiệm là
trong đó α, β được xác định bởi phương trình ![]()
Câu 5. Cho ma trận:
Tìm tất cả các ma trận X thỏa mãn A.X = X.A
Câu 6.
Biện luận theo m nghiệm đa thức P(x) của phương trình hàm sau: 1.xP(x) = m[P(x1)P(x - 1)]