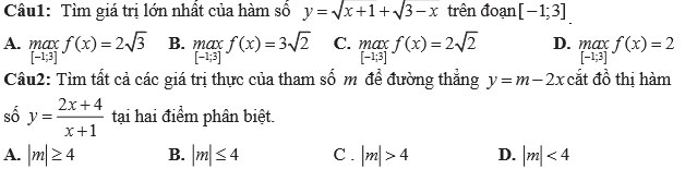
Đề kiểm tra giữa học kỳ 1 môn Toán 12 năm học 2017 - 2018, trường THPT Chu Văn An, Hà Nội
Đề kiểm tra giữa học kỳ 1 môn Toán 12
VnDoc.com xin giới thiệu tới bạn đọc tài liệu: Đề kiểm tra giữa học kỳ 1 môn Toán 12 năm học 2017 - 2018, trường THPT Chu Văn An, Hà Nội, tài liệu bao gồm 50 câu hỏi trắc nghiệm kèm theo đáp án sẽ giúp các bạn học sinh rèn luyện cách giải nhanh các bài tập Toán. Mời các bạn học sinh và thầy cô tham khảo.
Đề kiểm tra chất lượng giữa học kỳ 1 môn Toán 12 năm học 2017 - 2018 trường THPT Việt Đức, Hà Nội
Đề thi giữa học kì 1 môn Toán lớp 12, trường THPT Thuận Thành 3, Bắc Ninh, năm học 2017 - 2018
Đề khảo sát chất lượng môn Toán 12 trường THPT Đoàn Kết, Hai Bà Trưng, Hà Nội, năm học 2017 - 2018
Đề kiểm tra giữa học kỳ 1 môn Toán 12 năm học 2017 - 2018, trường THPT Chu Văn An, Hà Nội
|
SỞ GD&ĐT HÀ NỘI TRƯỜNG THPT CHU VĂN AN |
ĐỀ KIỂM TRA GIỮA HỌC KÌ I- NĂM HỌC 2017-2018 MÔN TOÁN KHỐI 12 Thời gian làm bài: 90 phút, không kể thời gian phát đề (50 câu trắc nghiệm) |
1
Câu 3: Đồ thị của hàm số
\(y\ =\ \frac{2}{x-1}\) có bao nhiêu đường tiệm cận?
A. 0
B. 2
C. 1
D. 3
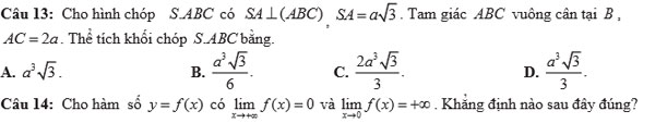
Câu 4: Một lăng trụ đứng tam giác có các cạnh đáy bằng 37,13,30 và diện tích xung quanh bằng 480. Tính thể tích của khối lăng trụ.
A. 2010
B. 1080
C. 2040
D. 1010
Câu 5: Cho hàm số y = f (x) = Ιx + 2Ι mệnh đề nào sau đây sai?
A. Hàm số f (x) là hàm chẵn
B. Hàm số f (x) không tồn tại đạo hàm tại điểm x = -2
C. Hàm số f (x) liên tục trên R
D. Giá trị nhỏ nhất của hàm số f (x) = 0
Câu 6: Số giao điểm của hai đồ thị y = x4 - 3x2 + 2 và y = x2 - 2 là.
A. 2
B. 0
C. 1
D. 4
Câu 7: Hàm số
\(y\ =\ \sqrt{2x-x^2}\) đồng biến trên khoảng:
A. (1; 2)
B. (-œ;1)
C. (1; +œ)
D. (0;1)
Câu 8: Cho hàm số bậc 4 có đồ thị như hình vẽ bên. Hỏi đó là đồ thị của hàm số nào?
A. y = x4 - 2x2 - 2.
C. y = -x4 - 2x2 +1
B. y = -x4 + 2x2 +1.
D. y = x4 - 2x2 -1.

Câu 11: Hình nào sau đây không có mặt phẳng đối xứng?
A. Hình lập phương.
B. Hình hộp.
C. Hình bát diện đều.
D. Tứ diện đều.
Câu 12: Hình lập phương có bao nhiêu mặt phẳng đối xứng?
A. 9
B. 3
C. 6
D. 8

A. Đồ thị của hàm số đã cho không có tiệm cận ngang.
B. Đồ thị của hàm số đã cho có một tiệm cận đứng, không có tiệm cận ngang.
C. Đồ thị của hàm số đã cho có cả tiệm cận đứng và tiệm cận ngang.
D. Đồ thị của hàm số đã cho không có tiệm cận đứng.
Câu 15: Đồ thị hàm số
\(y\ =\ \frac{x-1}{2-x}\) có bao nhiêu điểm cực trị?
A. 3
B. 0
C. 2
D.1
Câu 16: Đường cong trong hình vẽ bên là đồ thị của hàm số

A. y = -2x3 + 9x2 -12x - 4
B. y = x3 - 3x + 2
C. y = x4 - 3x2 + 2
D. y = 2x3 - 9x2 +12x - 4
Câu 17: Cho hàm số y = f (x) liên tục trên R, có đồ thị (C) như hình vẽ dưới đây:

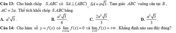
Câu 18: Cho hình chóp S.ABC có đáy là tam giác đều cạnh a, hình chiếu vuông góc của đỉnh S trên đáy là điểm H nằm trên cạnh AC sao cho AH =
\(\frac{2}{3}AC\). Mặt phẳng (SBC) tạo với đáy một góc 600. Tính thể tích khối chóp S.ABC.
A.
\(\frac{a^3\sqrt{3}}{12}\)
B.
\(\frac{a^2\sqrt{3}}{36}\)
C.
\(\frac{a^3\sqrt{3}}{34}\)
D.
\(\frac{a^2\sqrt{3}}{8}\)
Câu 19: Phương trình tất cả các tiệm cận ngang của đồ thị hàm số
\(y\ =\ \frac{x+2017}{\sqrt{x^2}-2017}\) là:
A.
\(y\ =\ \sqrt{2017}\)
B. y = 1
C.
\(y=-\sqrt{2017}\)
D.
\(y\ =\ 1;\ y\ =-1\)
Câu 20: Hàm số y = -x3 + 3x2 + 9x + 4 đồng biến trên khoảng?
A. (-œ; -3)
B. (-1;3)
C. (3; +œ)
D. (-3;1)
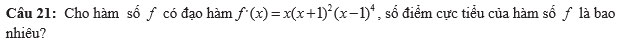
A. 3
B. 2
C. 0
D. 1
Câu 22: Điểm M (3; -1) thuộc đường thẳng đi qua hai điểm cực đại và cực tiểu của đồ thị hàm số y = x3 - x + m khi m bằng
A. 2
B. 1
C. -1
D. 0
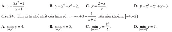
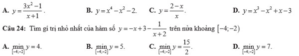
Câu 23: Đồ thị của hàm số nào trong các hàm số sau đây có tiệm cận ngang?

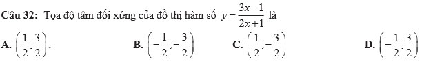
Câu 25: Hàm số
\(y\ =\ \frac{x}{x^2\ +1}\) đống biến trên khoảng?
A. (-œ; -1)
B. (0; +œ)
C. (-œ; +œ)
D. (-1;1)
Câu 26: Tổng diện tích các mặt của khối lập phương bằng 96. Tính thể tích của khối lập phương đó.
A. 48
B. 84
C. 64
D. 91
Câu 27: Hàm số nào dưới đây không có cực trị?

Câu 29: Cho hình chóp BCD có đáy ABCD là hình thoi cạnh a, ABC = 600, cạnh bên SA vuông góc với đáy SA =
\(a\sqrt{3}\). Tính thể tích của khối chóp S.A CD.
Câu 30: Tìm số cạnh ít nhất của hình đa diện có 5 mặt.
A. 9 cạnh.
B. 8 cạnh.
C. 6 cạnh.
D. 7 cạnh.
Câu 31: Một khối chóp tam giác có độ dài các cạnh đáy lần lượt là 6,8,10. Một cạnh bên có độ dài bằng 4 và tạo với đáy một góc hình chóp 600. Tính thể tích khối chóp.
A.
\(16\sqrt{3}\)
B.
\(8\sqrt{3}\)
C.
\(\frac{16\sqrt{2}}{3}\)
D.
\(16\pi\)

Câu 33: Gọi O là tiếp tuyến tại điểm cực tiểu của đồ thị hàm số
\(y\ =\ \frac{1}{3}x^3-2x^2+3x-5\). Khẳng định nào sau đâu đúng?
A.
\(\triangle\) song song với trục hoành.
B.
\(\triangle\) có hệ số góc dương.
C.
\(\triangle\) có hệ số góc bằng -1.
D.
\(\triangle\) song song với đường thẳngy = -5
Câu 34: Cho hình hộp ABCD.A,B,C,D, gọi O là giao điểm của AC và BD. Tính tỉ số thể tích của khối chóp O.A,B,C, và khối hộp ABCD.A,B,C,D,.
A.
\(\frac{1}{4}\)
B.
\(\frac{1}{3}\)
C.
\(\frac{1}{6}\)
D.
\(\frac{1}{12}\)

Câu 37: Có bao nhiêu giá trị thực của tham số m để đồ thị hàm số y = x3 - 3mx2 + 4m3 có các điểm cực đại và cực tiểu đối xứng với nhau qua đường thẳng y = x?
A. 2.
B. 0.
C. 1.
D. 3.

A.
\(\frac{\sqrt{3+1}}{2}\)
B.
\(\frac{\sqrt{3-1}}{2}\)
C.
\(\sqrt{3-1}\)
D.
\(\sqrt{3+1}\)

Mệnh đề nào sau đây đúng?
A. a > 0,b < 0, c > 0
B. a > 0,b > 0, c > 0
C. a < 0,b > 0, c > 0
D. a > 0,b > 0, c < 0
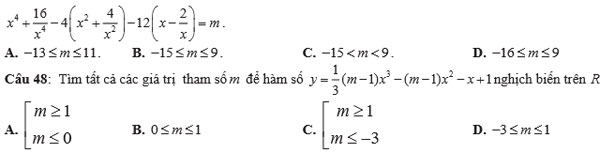
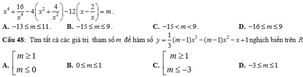
Câu 47: Tìm tất cả các giá trị thực của tham sốm để phương trình sau có nghiệm
\(x\) € (1;2).

Câu 49: Cho hình chóp tứ giác đều S.ABCD, có cạnh đáy bằng a và có thể tích
\(V=\ \frac{a^3\sqrt{3}}{6}\). Gọi J là điểm cách đều tất cả các mặt của hình chóp. Tính khoảng cách d từ J đến mặt phẳng đáy.
A.
\(d\ =\ \frac{a\sqrt{3}}{4}\)
B.
\(d=\frac{a\sqrt{3}}{2}\)
C.
\(d=\ \frac{a\sqrt{3}}{6}\)
D.
\(\frac{a\sqrt{3}}{3}\)
Câu 50: Biết rằng đường thẳng d: y = 3x + m (với m là số thực) tiếp xúc với đồ thị hàm số (C): y = x2 - 5x -8. Tìm tọa độ tiếp điểm của d và (C).
A. (4;-12).
B. (-4; 28).
C. (1; -12).
D. (-1; -2).
Đáp án đề kiểm tra giữa học kỳ 1 môn Toán 12
|
1. C |
2. C |
3. B |
4. B |
5. A |
6. A |
7. D |
8. B |
9. B |
10. D |
|
11. D |
12. D |
13. D |
14. C |
15. B |
16. D |
17. D |
18. C |
19. D |
20. B |
|
21. D |
22. B |
23. C |
24. D |
25. D |
26. C |
27. A |
28. D |
29. A |
30. B |
|
31. A |
32. D |
33. A |
34. C |
35. C |
36. B |
37. A |
38. C |
39. C |
40. A |
|
41. D |
42. A |
43. C |
44. B |
45. B |
46. A |
47. B |
48. B |
49. C |
50. A |