Đề thi giải toán trên Máy tính Casio cấp thành phố Đà Nẵng môn Toán lớp 9 (2011 - 2012)
Đề thi giải toán trên Máy tính Casio cấp thành phố Đà Nẵng môn Toán lớp 9
Đề thi giải toán trên Máy tính Casio cấp thành phố Đà Nẵng môn Toán lớp 9 năm học 2011 - 2012 là đề thi giải toán trên máy tính cấp thành phố được VnDoc sưu tầm và giới thiệu dành cho các em học sinh luyện đề, tự kiểm tra kiến thức cũng như ôn tập chuẩn bị cho kiểm tra cuối học kì 1 sắp tới. Mời các bạn cùng tham khảo.
Đề thi học sinh giỏi Giải toán trên Máy tính Casio cấp tỉnh Đăk Nông môn Toán lớp 9 (2008 - 2009)
Đề thi học sinh giỏi giải toán trên Máy tính cầm tay tỉnh Thừa Thiên Huế - Khối 9 (2009 - 2010)
Đề thi giải toán trên Máy tính cầm tay cấp tỉnh Tuyên Quang môn Toán THCS (2009 - 2010)
SỞ GIÁO DỤC VÀ ĐÀO TẠO
|
KỲ THI GIẢI TOÁN TRÊN MÁY TÍNH CASIO, VINACAL
|
Bài 1. (5 điểm, mỗi câu được 2,5 điểm)
Tính giá trị của mỗi biểu thức sau:

Bài 2. (5 điểm, mỗi câu được 2,5 điểm)
Tìm giá trị thỏa mãn:
a) Tìm x thỏa mãn đẳng thức sau đây:
b) Với các giá trị nào của x thì biểu thức sau có giá trị nhỏ nhất: M = x(x - 1)(x + 1)(x + 2) + 403
Bài 3. (5 điểm, mỗi câu được 2,5 điểm)
Xác định giá trị thỏa mãn:
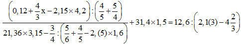
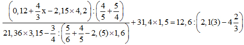
a) Tính: A = {1, (12) + 2,0(123).0,(1323)}:{2,(21) + 1,0(321) + 0,(3231)}
b) Cho số tự nhiên a = 32m+4.7292m_1.1253m-12 với m thuộc R, m ≥ 4. Biết rằng a không chia hết cho 10, hỏi số a có tất cả bao nhiêu ước số?
Bài 4. (5 điểm)
Trên mặt phẳng tọa độ Oxy, cho đường thẳng (d): y = (m - 1)x + 2m + 3 (với m#1) và các điểm ![]()
a) Tìm m dưới dạng phân số để điểm
thuộc đường thẳng (d). Xác định giá trị thỏa mãn rồi ghi kết quả vào ô.
b) Tìm tọa độ điểm E trên trục tung sao cho ME + NE bé nhất. Trình bày tóm tắt cách giải.
Bài 5. (5 điểm, mỗi câu được 2,5 điểm)
Cho đa thức : P(x) = x4 + ax3 + bx2 + cx + d
a) Tìm đa thức dư trong phép chia P(x) : (x2 - 3x + 2) khi a = -1; b = 1; c = -2; d = 2
b) Cho biết P(1) = 5; P(2) = 20; P(3) = 45. Tính P(50) + P(46)
Bài 6. (5 điểm, mỗi câu được 2,5 điểm)
a) Tìm số tự nhiên x, y thỏa xx + (xy)x = 5489855287
b) Tìm số nguyên dương x, y biết y2 + xy2 - x2 = 4428
Bài 7. (5 điểm, mỗi câu được 2,5 điểm)
a) Cho đa thức f(x) = (x2 + 3x - 1)2012
Tính tổng các hệ số của các hạng tử chứa lũy thừa bậc chẵn của x.
b) Cho dãy số các số tự nhiên u0, u1, u2, ... có u0 = 1 và un+1.un-1 = k.un (với k, n thuộc R*). Tính k và u1, biết u2012 = 2012
Bài 8. (5 điểm)
Giải phương trình: ![]()
Bài 9. (5 điểm)
Tìm số nguyên dương nhỏ nhất thỏa mãn hai tính chất sau:
1) Viết dưới dạng thập phân số đó có tận cùng là số 6.
2) Nếu bỏ chữ số 6 cuối cùng và đặt chữ số 6 lên trước các chữ số còn lại sẽ được một số gấp 4 lần số ban đầu.
Bài 10. (5 điểm)
Cho tam giác ABC, lấy điểm M tùy ý bên trong tam giác (không nằm trên các cạnh). Qua M vẽ ba đường thẳng lần lượt song song với ba cạnh của tam giác. Các đường thẳng đó chia tam giác ABC thành nhiều phần (như hình vẽ). Xét ba tam giác, diện tích mỗi tam giác lần lượt là S1 = 2,1234cm2; S2 = 3,1425cm2; S3 = 4,0213cm2. Tính diện tích của tam giác ABC.
