Đề thi giữa học kì 2 môn Toán lớp 11 (cơ bản) trường THPT Phan Văn Trị, Cần Thơ năm học 2015 - 2016
Đề thi giữa học kì 2 môn Toán lớp 11
Đề thi giữa học kì 2 môn Toán lớp 11 (cơ bản) trường THPT Phan Văn Trị, Cần Thơ năm học 2015 - 2016 gồm 2 mã đề có đáp án. Hi vọng tài liệu này giúp các em ôn tập kiến thức hiệu quả, chuẩn bị tốt cho bài kiểm tra giữa kì II, bài kiểm tra cuối năm lớp 11. Mời các em tham khảo.
Đề thi học kì 2 môn Toán lớp 11 (cơ bản) trường THPT Phan Văn Trị, Cần Thơ năm học 2015 - 2016
Đề thi giữa học kì 2 môn Vật lý lớp 11 trường THPT Phan Văn Trị, Cần Thơ năm học 2015 - 2016
Đề thi giữa học kì 2 môn Toán lớp 11 trường THPT Triệu Sơn 2, Thanh Hóa năm học 2013 - 2014
| SỞ GD&ĐT TP CẦN THƠ THPT PHAN VĂN TRỊ ĐỀ I |
ĐỀ KIỂM TRA 1 TIẾT MÔN TOÁN KHỐI 11 (BAN CƠ BẢN) Thời gian làm bài: 60 phút |
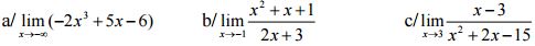
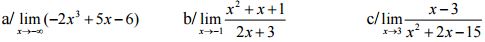
Câu 1: (2.0 điểm) Tính các giới hạn sau:
![]()
Câu 2: (4.0 điểm)
![]()
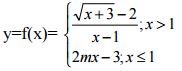
Câu 3: (3.0 điểm) Tìm m để hàm số sau liên tục tại x = 1

Câu 4: (1.0 điểm) Chứng minh rằng phương trình: x3 - 3x + 1 = 0 có ít nhất 2 nghiệm phân biệt.
| SỞ GD&ĐT TP CẦN THƠ THPT PHAN VĂN TRỊ ĐỀ II |
ĐỀ KIỂM TRA 1 TIẾT MÔN TOÁN KHỐI 11 (BAN CƠ BẢN) Thời gian làm bài: 60 phút |
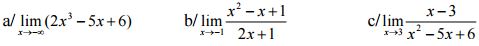
Câu 1: (2.0 điểm) Tính các giới hạn sau:
![]()
Câu 2: (4.0 điểm)
![]()
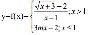
Câu 3: (3.0 điểm) Tìm m để hàm số sau liên tục tại x = 1

Câu 4: (1.0 điểm) Chứng minh rằng phương trình: x3 - 3x + 1 = 0 có ít nhất 2 nghiệm phân biệt.
Đáp án đề thi giữa học kì 2 môn Toán lớp 11


