Đề thi học kì 2 môn Hóa học lớp 8 trường PTDTBT THCS Trà Thọ, Tây Trà năm 2015 - 2016
Đề thi học kì 2 môn Hóa học lớp 8
Đề thi học kì 2 môn Hóa học lớp 8 trường PTDTBT THCS Trà Thọ, Tây Trà năm 2015 - 2016 là đề thi học kì 2 lớp 8 môn Hóa học có đáp án. VnDoc xin giới thiệu tới các bạn tài liệu này giúp các bạn ôn thi học kì II môn Hóa học lớp 8 tốt hơn, đạt điểm cao trong bài thi của mình. Mời các bạn tham khảo.
Đề thi học kì 2 môn Công nghệ lớp 8 trường THCS Thượng Thôn, Hà Quảng năm 2015 - 2016
Đề thi học kì 2 môn Lịch sử lớp 8 trường THCS Bãi Thơm, Phú Quốc năm 2015 - 2016
Đề thi học kì 2 môn Hóa học lớp 8 trường THCS Bù Gia Mập, Bình Phước năm 2015 - 2016
Bài test: Đề thi học kì 2 môn Hóa học lớp 8 trường PTDTBT THCS Trà Thọ, Tây Trà năm 2015 - 2016
| PHÒNG GIÁO DỤC & ĐÀO TẠO TÂY TRÀ TRƯỜNG PTDTBT THCS TRÀ THỌ |
ĐỀ THI HỌC KỲ II NĂM HỌC: 2015-2016 MÔN THI: HÓA HỌC - LỚP: 8 Thời gian: 45phút (không kể thời gian giao đề) |
Phần I: Trắc nghiệm (4 điểm)
Em hãy chọn đáp án đúng ở các câu và điền vào bảng dưới đây:
Câu 1: Chất nào sau đây dùng điều chế khí Oxi trong phòng thí nghiệm
A. Fe, HCl B. Cu, HCl C. KMnO4 D. H2O
Câu 2: Xác định CTHH của điphotpho pentaoxit
A. P2O3 B. PO3 C. P5O2 D. P2O5
Câu 3: Nhóm chất nào sau đây đều là axit?
A: HCl, H2SO4, K2O B: NaOH, HNO3, HCl
C: H2SO4, HBr, H3PO4 D: HNO3, Na HCO3, H3PO4
Câu 4: Cặp chất nào sau đây có thể phản ứng được với nhau và gây nổ.
A. H2 và Fe B. H2 và CaO C. H2 và HCl D. H2 và O2
Câu 5: Xác định chất nào thuộc loại oxit bazơ
A. SO3 B. N2O5 C. Na2O D. CO2
Câu 6: Dung dịch bazơ làm quì tím chuyển đổi thành màu
A. xanh B.đỏ C. không đổi D. vàng
Câu 7: Trong các hợp chất sau, hợp chất nào là muối
A.CaO B. H2SO4 C. Al2(SO4)3 D. NaOH
Câu 8: Công thức hoá học của Sắt (III) hiđroxit là?
A. Fe(OH)3 B. Fe(OH)2 C. Fe(OH)4 D. Fe2O3
Phần II: Tự luận (6 điểm)
Câu 9 (1,0 điểm): Phân tử bazơ là gì? Có mấy loại? Cho ví dụ minh họa?
Câu 10 (1,0 điểm):Phân loại và đọc tên các chất sau: SO2, H2SO4, Fe(OH)2, Ca(HCO3)2.
Câu 11 (2 điểm): Tính toán và trình bày cách pha chế các dung dịch sau:
a) 100 gam dung dịch NaCl 20%
b) 200 ml dung dịch CaCO3 4M
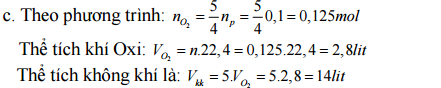
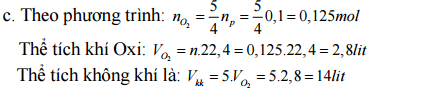
Câu 12 (2,0 điểm): Cho 3,1 g phốtpho (P) cháy trong không khí (O2) thu được khí điphôtpho penta oxit (P2O5).
a/ Viết phương trình phản ứng xảy ra
b/ Tính khối lượng điphôtpho penta oxit (P2O5) tạo thành.
c/ Tính thể tích không khí cần dùng, biết thể tích không khí bằng 5 lần thể tích khí oxi.
Các khí đo ở đktc. (Cho P = 31, O = 16)
Đáp án đề thi học kì 2 môn Hóa học lớp 8
Phần I: Trắc nghiệm khách quan (Mỗi câu 0,5 điểm)
| Câu | 1 | 2 | 3 | 4 | 5 | 6 | 7 | 8 |
| Đáp án | C | D | C | D | C | B | C | A |
Phần II: Tự luận
Câu 9:
* Phân tử bazơ gồm có một nguyên tử kim loại liên kết với một hay nhiều nhóm hidro xit (-OH) (0,5đ)
* Có hai loại: (0,5đ)
- Bazơ tan: NaOH, KOH,...
- Bazơ không tan: Fe(OH)2, Al(OH)3,...
Câu 10:
* Oxit: SO2: Lưu huỳnh đi oxit (0,25đ)
* Axit: H2SO4: Axit sunfuric (0,25đ)
* Bazơ: Fe(OH)2: Sắt (II) hidroxit (0,25đ)
* Muối: Ca(HCO3)2. Canxi hidro cacbonat. (0,25đ)
Câu 11:
a) Khối lượng chất tan NaCl là:

* Cách pha:
- Cân đúng 20 gam NaCl khan cho vào cốc có dung tích 150 ml.
- Đổ từ từ nước cất đến vạch thứ 80 ml vào cốc trên và khuấy nhẹ. Ta được 100g dung dịch NaCl 20%.
b) Đổi 200 ml=0,2 lít
Số mol chất tan
nNaCl = CM.V = 4.0,2 = 0,8 mol
Khối lượng của 0,8 mol CaCO3 là:
mNaCl = n.M = 0,8.100 = 80g
Cách pha:
- Cân lấy 80gam CaCO3 khan cho vào cốc thủy tinh có dung tích 300ml.
- Đỗ từ từ nước cất đến vạch 200 ml vào cốc trên khuấy nhẹ. Ta được 200ml dung dịch CaCO3 4M.
Câu 12:

