Đề thi HSG môn Toán lớp 10 trường THPT Tam Quan năm 2015 -2016
Đề thi HSG môn Toán lớp 10 trường THPT Tam Quan
Đề thi học sinh giỏi lớp 10 cấp trường THPT Tam Quan năm 2015 - 2016 là đề thi học sinh giỏi cấp trường môn Toán lớp 10. Tài liệu bao gồm đề thi và đáp án, thuận tiện cho các bạn luyện tập và kiểm tra lại kết quả sau khi làm bài, hi vọng giúp các bạn ôn thi học sinh giỏi, ôn thi vào lớp 10 các trường THPT chuyên hiệu quả.
Đề thi học sinh giỏi môn Toán lớp 11 trường THPT Tam Quan năm 2015 - 2016
| SỞ GD & ĐT BÌNH ĐỊNH TRƯỜNG THPT TAM QUAN ĐỀ CHÍNH THỨC |
KỲ THI CHỌN HỌC SINH GIỎI LỚP 10 NĂM HỌC 2015- 2016 Môn thi: TOÁN Thời gian: 150 phút (không kể thời gian giao đề) |

a) Rút gọn A.
b) Tìm x nguyên để A nguyên.
Câu III: (5,0 điểm).
1) Mỗi học sinh lớp 10A1 đều chơi bóng đá hoặc bóng chuyền. Biết rằng có 25 bạn chơi bóng đá, 20 bạn chơi bóng chuyền và 10 bạn chơi cả hai môn thể thao này. Hỏi lớp 10A1 có bao nhiêu học sinh.
2) Cho các nữa khoảng Đặt Với điều kiện nào của các số thực a và b thì C là một đoạn? Tính độ dài của đoạn C khi đó .
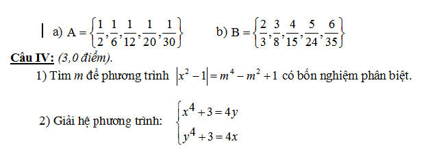
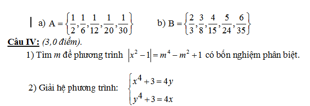
3) Tìm một tính chất đặc trưng cho các phần tử của mỗi tập hợp sau:

Câu V: (4,0 điểm).
- Cho tam giác ABC có trung tuyến AM. Gọi I là trung điểm của AM và K là điểm trên cạnh AC sao cho AK = 1⁄3 AC. Chứng minh ba điểm B, I, K thẳng hàng.
- Cho tứ giác ABCD. Các điểm M, N, P và Q lần lượt là trung điểm của AB, BC, CD và DA. Chứng minh hai tam giác ANP và CMQ có cùng trọng tâm.
Câu VI: (3,5 điểm). Cho đường tròn tâm (O; R) đường kính AB và CD vuông góc với nhau. Trong đoạn AB lấy điểm M khác 0. Đường thẳng CM cắt đường tròn (O) tại điểm thứ hai N. Đường thẳng vuông góc với AB tại M cắt tiếp tuyến với đường tròn (O) tại N ở điểm P. Chứng minh rằng:
a) Các điểm O, M, N, P cùng nằm trên một đường tròn.
b) Tứ giác CMPO là hình bình hành.
c) CM.CN = 2R2
Đáp án đề thi HSG môn Toán lớp 10 trường THPT Tam Quan
Câu I (1,5đ)

Câu II (3,0đ)

Câu III (5,0đ)
1) (2 đ) Gọi A là tập hợp các học sinh lớp 10A1 chơi bóng đá
B là tập hợp các học sinh lớp 10A1 chơi bóng chuyền. Vì mỗi bạn của lớp 10A1 đều chơi bóng đá hoặc bóng chuyền nên A υ B là tập các học sinh của lớp. Để đếm số phần tử của A υ B. Số phần tử của A là 25 Hs và của B là 20 hs. Nhưng khi đó các phần tử thuộc A ∩ B được đếm hai lần (10 lần).
Vậy số phần tử của A υ B là 25+20 -10 = 35. Lớp 10A1 có 35 hs.

Câu IV (3,0đ)


Câu V (4,0đ)

Câu VI (3,5đ)

