Đề thi Olympic Toán sinh viên năm 2014
HỘI TOÁN HỌC VIỆT NAM |
ĐỀ THI OLYMPIC TOÁN SINH VIÊN NĂM 2014Môn thi: Giải tích |
Câu 1.
Cho dãy số (un) thỏa mãn u1 = 1 và
; trong đó a ≥ 0. Tìm a sao cho (un) hội tụ và tìm giới hạn đó.
Câu 2.
Cho hai hàm f(x) và g(x) xác định trên R và thỏa mãn điều kiện (f(x) − f(y))(g(x) − g(y)) = 0 với mọi x; y ∈ R.
Chứng minh ít nhất một trong hai hàm f hoặc g là hàm hằng.
Câu 3.
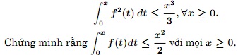
1) Cho hàm số f đơn điệu trên [0;∞) và 
Chứng minh rằng: ![]()
2) Kết luận trên còn đúng không khi f là hàm liên tục trên [0;∞) nhưng không đơn điệu trên khoảng đó? Tại sao?
Câu 4.
Tìm tất cả các hàm số f(x) xác định, liên tục trên đoạn [0; 1], khả vi trong khoảng (0; 1) và thỏa mãn điều kiện:
![]()
Câu 5.
Cho dãy số (xn) được xác định bởi ![]()
Tìm
với điều kiện x0 ≥ 4; x1 ≥ 4.
Câu 6. Thí sinh chọn một trong hai câu:
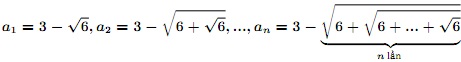
6a. Cho (an) là dãy số xác định bởi

Hãy chứng minh rằng chuỗi số hội tụ.
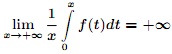
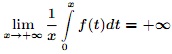
6b. Cho f là hàm số liên tục trên [0;+∞). Giả sử rằng
