Đề thi thử đại học năm 2014 trường THPT Lý Thái Tổ, Bắc Ninh
Đề thi thử đại học khối B, D
SỞ GIÁO DỤC & ĐÀO TẠO BẮC NINH
|
ĐỀ THI THỬ ĐẠI HỌC LẦN 1 NĂM 2013 - 2014
|
PHẦN CHUNG CHO TẤT CẢ CÁC THÍ SINH (8.0 điểm):
Câu I (2.0 điểm). Cho hàm số y = x3 – 3x2 + 2 có đồ thị (C).
1/ Khảo sát sự biến thiên và vẽ đồ thị (C) của hàm số.
2/ Đường thẳng (d) đi qua A(3; 2) và có hệ số góc k. Tìm k để đường thẳng (d) cắt đồ thị (C) tại ba điểm phân biệt A, M, N sao cho tiếp tuyến của (C) tại M và N vuông góc với nhau.
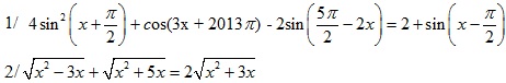
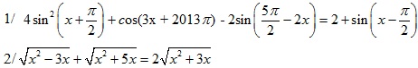
Câu II (2.0 điểm). Giải các phương trình sau:

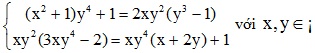
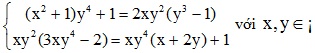
Câu III (1 điểm). Giải hệ phương trình:

Câu IV (2.0 điểm). Cho hình chóp S.ABCD có đáy là hình chữ nhật; độ dài cạnh AB = a; BC = a√2. Các cạnh bên bằng nhau và bằng 2a. Gọi M, N tương ứng là trung điểm các cạnh AD và BC, K là điểm trên AD sao cho
.
a/ Tính thể tích hình chóp S.ABCD theo a.
b/ Tính khoảng cách và góc giữa hai đường thẳng MN và SK.
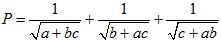
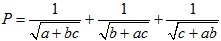
Câu V (1.0 điểm). Cho ba số thực dương a, b, c thỏa mãn a + b + c = 1. Tìm giá trị nhỏ nhất của biểu thức:![]()
PHẦN RIÊNG (2.0 điểm): Thí sinh chỉ được làm một trong hai phần (phần A hoặc B)
A. Theo chương trình Chuẩn:
Câu VI.a (1.0 điểm).
Trong mặt phẳng với hệ tọa độ Oxy, lập phương trình đường thẳng d đi qua M(2; 3) và cắt Ox tại A(a; 0), cắt Oy tại B(0; b) sao cho tam giác OAB có diện tích bằng 16, biết a và b dương.
Câu VII.a (1.0 điểm). Tìm số hạng chứa x6 trong khai triển thành đa thức của nhị thức
. Biết n thỏa mãn:![]()
B. Theo chương trình Nâng cao:
Câu VI.b (1.0 điểm).
Trong mặt phẳng với hệ tọa độ Oxy, cho 3 điểm M(1; 1), N(-2, 2), P(2, -2). Tìm tọa độ các đỉnh của hình vuông ABCD biết M là giao điểm 2 đường chéo của hình vuông, đường thẳng AB đi qua N và đường thẳng CD đi qua P.
Câu VII.b (1.0 điểm). Tìm m để phương trình có nghiệm duy nhất.
![]()