Đề thi thử Quốc gia môn Toán năm 2015
Đề thi thử Quốc gia môn Toán năm 2015 là đề thi thử đại học môn Toán hay, đảm bảo theo cấu trúc đề thi của Bộ GD-ĐT, dành cho các bạn học sinh và thầy cô tham khảo, nghiên cứu, học tập, chuẩn bị tốt nhất cho kì thi THPT Quốc gia môn Toán sắp tới. Chúc các bạn thi tốt trong các kì thi quan trọng sắp tới.
Đề thi thử Quốc gia môn Toán năm 2015
| BỘ GIÁO DỤC VÀ ĐÀO TẠO ĐỀ CHÍNH THỨC 22. 3 . 2015 Th.S Phan Phước Bảo. 80 N. Huệ |
KÌ THI TUYỂN SINH CHUNG QUỐC GIA 2015 MÔN TOÁN Thời gian : 180 phút, không kể thời gian phát đề |
Câu 1: (2,0 điểm) Cho hàm số y = x³ - 3x + 2 (C)
1. Khảo sát sự biến thiên và vẽ đồ thị hàm số.
2. Viết phương trình tiếp tuyến tại điểm có hoành độ bằng 2. Tính diện tích hình phẳng giới hạn bởi đồ thị (C) và tiếp tuyến đó.
Câu 2: (2,0 điểm) Giải phương trình
1. 2.4x - 3.2x - 2 = 0 (x thuộc R)
2. 2sin²x - sin2x + cosx = sinx.
Câu 3: (1,0 điểm) Cho hình chóp S.ABC có đáy ABC là tam giác vuông cân tại B, AB = BC = a, SA vuông góc với (ABC), cạnh bên SB tạo với đáy một góc 60o, M là trung điểm cạnh SC, N là điểm nằm trên cạnh BC sao cho BN = 3CN. Tính thể tích khối chóp S.ABC và khoảng cách giữa AB và MN theo a.
Câu 4: (1 điểm) Cho số phức:

Tính mô đun của z và tìm toạ độ điểm biểu diễn hình học của z trong hệ toạ độ Oxy.
Câu 5: (1 điểm)
1, Triển khai nhị thức Newton biểu thức (2+x)n theo lũy thừa tăng của x ta được hệ số của số hạng thứ tám là 144. Tìm x biết:
![]()
2. Môt lô hàng có 10 sản phẩm, trong đó có 2 phế phẩm. Lấy tùy ý 6 sản phẩm từ lô hàng đó. Hãy tính xác suất để trong 6 sản phẩm lấy ra có không quá 1 phế phẩm?
Câu 6: (1,0 điểm) Trong không gian Oxyz, cho mặt cầu (S), mặt phẳng (P) có phương trình:
(S): x² + y² + z² - 4x -2y + 2z +2 = 0 (P): 2x+ y - 2z - 1 = 0
1. Xác định toạ độ tâm I, tính bán kính r của (S). Xác định vị trí tương đối của (S) và (P).
2. Viết phương trình tham số của đường thẳng d đi qua I và vuông góc với (P). Tìm toạ độ điểm chung của (P) và (S).
Câu 7: (1,0 điểm) Trong mặt phẳng với hệ tọa độ Oxy, cho A (1;3) và đường tròn (C1) x² + y² = 1. Viết phương trình đường tròn (C) đi qua điểm A và tâm của đường tròn (C1) đồng thời cắt đường tròn (C1) tại hai điểm E F, sao cho ΔAEF có diện tích bằng 27/10.
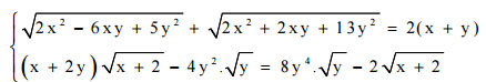
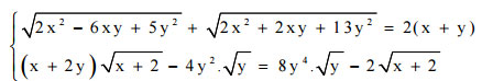
Câu 8: (1,0 điểm) Giải hệ phương trình:
.
Hết
Thí sinh không được sử dụng tài liệu. Cán bộ coi thi không giải thích gì thêm.
Họ và tên thí sinh:........................................Số bảo danh:...........................