Đề thi thử THPT Quốc gia môn Lý lần 5 năm 2015 trường THPT Chuyên Sư Phạm, Hà Nội
Đề thi thử THPT Quốc gia môn Lý
Đề thi thử THPT Quốc gia môn Lý lần 5 năm 2015 trường THPT Chuyên Sư Phạm, Hà Nội là một trong những đề thi thử môn Vật lý hay mà VnDoc.com muốn gửi tới các bạn, giúp các bạn hệ thống củng cố kiến thức môn Vật lý, rèn luyện kĩ năng làm bài trắc nghiệm, chuẩn bị tốt cho các kì thi Quốc gia quan trọng sắp tới.
Đề thi thử THPT Quốc gia năm 2016 môn Vật lý trường THPT Chuyên Sư Phạm Hà Nội (lần 1)
Đề thi thử THPT Quốc gia môn Toán năm 2016 trường THPT Chuyên Đại học Sư phạm Hà Nội (Lần 4)
Đề thi thử THPT Quốc gia năm 2016 môn Hóa học trường THPT Chuyên Đại học Sư phạm Hà Nội (Lần 1)
Đề thi thử THPT Quốc gia môn Lý năm 2015 trường THPT Chuyên Sư Phạm, Hà Nội
Đề thi thử THPT Quốc gia môn Lý trường chuyên Sư phạm
| TRƯỜNG ĐẠI HỌC SƯ PHẠM HÀ NỘI TRƯỜNG THPT CHUYÊN |
ĐỀ THI THỬ CHUẨN BỊ CHO KỲ THI THPT QUỐC GIA 2015 LẦN 5 Môn: Vật lý (Mã 151) Thời gian làm bài: 90 phút, không kể thời gian phát đề (Đề gồm 50 câu trắc nghiệm) |
Cho biết: Hằng số Plăng h = 6,625.10-34 J.s; độ lớn điện tích nguyên tố e = 1,6.10-19C; tốc độ ánh sáng trong chân không c = 3.108 m/s; số Avôgađrô NA = 6,02.1023 mol-1.
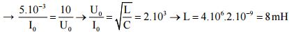
Câu 1. Một mạch dao động lí tưởng gồm một cuộn dây thuần cảm và tụ điện có điện dung 2nF. Trong mạch đang có dao động điện từ tự do với chu kì T. Tại thời điểm t1, cường độ dòng điện trong mạch là 5 mA. Sau một khoảng thời gian Δt = T/4, hiệu điện thế giữa hai bản tụ là 10 V. Độ tự cảm của cuộn dây là:
A. 8 mH. B. 1 mH. C. 0,04 mH. D. 2,5 mH.
Câu 2. Cho hai dao động điều hòa cùng phương, cùng tần số; có biên độ dao động lần lượt là A1 = 5 cm; A2 = 3 cm. Biên độ dao động tổng hợp của hai dao động đó có thể là:
A. 1,5 cm. B. 10 cm. C. 9 cm. D. 6 cm.
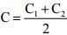
Câu 3. Đặt điện áp xoay chiều vào hai đầu đoạn mạch RLC nối tiếp có điện dung C của tụ điện thay đổi thì thấy: khi C = C1 và C = C2, điện áp hiệu dụng giữa hai bản tụ điện có cùng một giá trị. Để điện áp hiệu dụng giữa hai bản tụ điện đạt cực đại thì phải điểu chỉnh điện dung tới giá trị bằng
A. 0,4(C1 + C2). B. 0,5(C1 + C2). C. (C1 + C2). D. 2(C1 + C2).
Câu 4. Sự tổng hợp các hạt nhân hiđrô thành hạt nhân Heli dễ xảy ra ở
A. nhiệt độ thấp và áp suất thấp. B. nhiệt độ cao và áp suất cao.
C. nhiệt độ thấp và áp suất cao. D. nhiệt độ cao và áp suất thấp.
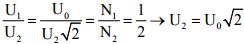
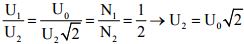
Câu 5. Trong một máy biến áp, số vòng N2 của cuộn thứ cấp gấp đôi số vòng N1 của cuộn sơ cấp. Đặt vào hai đầu cuộn sơ cấp điện xoay chiều u = Uocosωt thì điện áp hiệu dụng giữa hai đầu của cuộn thứ cấp có giá trị là
A. √2Uo. B. 2√2 Uo. C. 2Uo. D. Uo/2
Câu 6. Một nguồn âm S có công suất P phát sóng âm đều theo mọi phương, cường độ âm tại một điểm M cách S một khoảng MS = 12 m là I = 0,04 W/m2. Cho cường độ âm chuẩn là I0 =10-12 W/m2. Mức cường độ âm tại N cách S một khoảng NS = 4 m là
A. 100 dB. B. 116 dB. C. 126 dB. D. 90 dB.
Câu 7. Đặt điện áp u = Uocosωt có ω thay đổi được vào hai đầu đoạn mạch gồm cuộn cảm thuần có độ tự cảm L, điện trở thuần R và tụ điện có điện dung C mắc nối tiếp. Khi ω < thì
A. Điện áp hiệu dụng giữa hai đầu điện trở thuần R nhỏ hơn điện áp hiệu dụng giữa hai đầu đoạn mạch.
B. Điện áp hiệu dụng giữa hai đầu điện trở thuần R bằng điện áp hiệu dụng giữa hai đầu đoạn mạch.
C. Cường độ dòng điện trong đoạn mạch trễ pha so với điện áp giữa hai đầu đoạn mạch.
D. Cường độ dòng điện trong đoạn mạch cùng pha so với điện áp giữa hai đầu đoạn mạch.
Câu 8. Con lắc lò xo nằm ngang dao động điều hòa với năng lượng là 0,2J. Khi lực đàn hồi của lò xo có độ lớn là N thì động năng bằng với thế năng. Thời gian lò xo bị nén trong một chu kì là 0,5 s. Tốc độ cực đại của vật là
A. 62,83 cm/s. B. 83,62 cm/s. C. 156,52 cm/s. D. 125,66 cm/s
Câu 9. Trong một mạch dao động gồm cuộn dây thuần cảm L và tụ điện C có dao động điện từ tự do, năng lượng từ trường của cuộn dây biến thiên tuần hoàn với tần số
A. (√LC)/π B.1/(π.(√LC)) C.1/(2π.(√LC)) D.2π.(√LC) .
Câu 10. Thực hiện thí nghiệm I–âng về giao thoa ánh sáng. Khoảng cách giữa hai khe là 1 mm, màn quan sát đặt song song với mặt phẳng chứa hai khe và cách hai khe 2m. Chiếu sáng hai khe bằng ánh sáng trắng có bước sóng 0,4 µm ≤ λ ≤ 0,75 µm. Bước sóng lớn nhất của các bức xạ cho vân tối tại điểm N trên màn, cách vân trung tâm 12 mm, là
A. 735 nm B. 685 nm C. 705 nm C. 635 nm
Câu 11. Laze rubi hoạt động theo nguyên tắc nào?
A. Dựa vào sự tái hợp giữa êlectron và lỗ trống. B. Dựa vào sự phát xạ cảm ứng.
C. Dựa vào hiện tượng cảm ứng điện từ. D. Dựa vào hiện tượng quang điện
Câu 12. Tia hồng ngoại được dùng
A. Để tìm vết nứt trên bề mặt sản phẩm bằng kim loại.
B. Trong y tế dùng để chụp điện, chiếu điện.
C. Để chụp ảnh bề mặt Trái Đất từ vệ tinh.
D. Để tìm khuyết tật bên trong sản phẩm bằng kim loại.
Câu 13. Cho một con lắc lò xo dao động điều hòa, trong đó độ cứng của lò xo là 100 N/m. Tại thời điểm t1, li độ và vận tốc của vật lần lượt là 4 cm và 80 cm/s. Tại thời điểm t2, li độ và vận tốc của vật lần lượt là -4 cm và 80 cm/s. Khối lượng của vật nặng là
A. 250 g. B. 200 g. C. 500 g. D. 125 g.
Đáp án đề thi thử THPT Quốc gia môn Lý
Câu 1. Chọn đáp án A
Note: Mạch LC thì i sớm pha hơn u và q góc 900.
Tại t1 + ∆T thì u đến đúng vị trí của i lúc t1.
![]()
→ Chọn A.
Câu 2. Chọn đáp án D
Ta có |A1 - A2| = 2 ≤ A ≤ |A1 + A2| = 8 → Chọn D
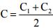
Câu 3. Chọn đáp án B
UC max thì
→ Chọn B
Câu 4. Chọn đáp án B
Điều kiện để xảy ra phản ứng nhiệt hạch:
- Nhiêt độ cao (T > 107 K)
- Mật độ hạt nhân Hidro đủ lớn → áp suất lớn
- Thời gian duy trì nhiệt độ cao phải đủ dài
→ Chọn B
Câu 5. Chọn đáp án A
Ta có
→ Chọn A
Câu 6. Chọn đáp án B

Câu 7. Chọn đáp án A
Khi ![]()
→ u trễ pha hơn i và UR < U → Chọn A
Mời các bạn tải file đầy đủ về tham khảo!