Đề kiểm tra chương Dao động cơ
Trắc nghiệm chương 1 Dao động cơ
Mời các bạn, quý thầy cô cùng tham khảo Đề kiểm tra chương Dao động cơ do VnDoc sưu tầm và biên soạn, với các câu hỏi lý thuyết bổ ích kết hợp cùng bài tập vận dụng bao quát toàn bộ kiến thức trọng tâm chương 1 vật lý 12. Hy vọng sẽ hỗ trợ quá trình dạy và học môn vật lý lớp 12.
Mã đề 156
Câu 1. Con lắc đơn có l = 2m, m = 100g dao động tại nơi có g = 10m/s2. Biết lực căng dây cực đại của con lắc là 1,267N, cơ năng của con lắc là
A. 0,1335J B. 0,8665J C. 2,534J D. 0,267J
Câu 2. Một con lắc đơn có chiều dài 1m treo vào trần 1 chiếc xe chuyển động nhanh dần đều trên đường nằm ngang với gia tốc a = 10/√3 m/s2. Cho g = π2 m/s2, khi dao động điều hòa trong xe con lắc có chu kì là
A. 2s B. 1,86s C. 1,5s D. 1,2s
Câu 3. Một vật m gắn với một lò xo thì nó dao động với chu kì 2s. Cắt lò xo này ra làm hai phần bằng nhau rồi mắc song song và treo vật vào thì chu kì dao động của vật là:
A. 4s B.1s C. 0,5s D. 2s
Câu 4. Phát biểu nào sau đây là đúng khi nói về dao động tắt dần?
A. Dao động tắt dần là dao động chỉ chịu tác dụng của ngoại lực.
B. Cơ năng của vật dao động tắt dần không đổi theo thời gian.
C. Dao động tắt dần có biên độ giảm dần theo thời gian.
D. Lực cản môi trường tác dụng lên vật luôn sinh công dương.
Câu 5. Khi nói về dao động cưỡng bức, câu nào dưới đây sai?
A. Biên độ của dao đông cưỡng bức phụ thuộc vào tần số của ngoại lực cưỡng bức và tần số riêng của hệ.
B. Khi hiện tượng cộng hưởng xảy ra thì biên độ của ngoại lực tăng đến giá trị cực đại.
C. Dao động cưỡng bức là dao động dưới tác dụng của ngoại lực biến đổi tuần hoàn.
D. Khi chu kì của lực cưỡng bức bằng chu kì dao động riêng của hệ thì hiện tượng cộng hưởng xảy ra.
Câu 6. Khi nói về dao động tắt dần thì câu nào sau đây không đúng?
A. Trong các môi trường khác nhau thì thời gian dao động tắt dần là như nhau vì chu kì dao động riêng không thay đổi.
B. Nguyên nhân của dao động tắt dần là do ma sát.
C. Trong các môi trường khác nhau thì thời gian dao động tắt dần là khác nhau.
D. Dao động tắt dần có biên độ giảm dần theo thời gian.
Câu 7. Một con lắc lò xo dao động điều hòa với biên độ dao động A = 5cm thì chu kì dao động là T = 2s. Nếu cho con lắc đó dao động với biên độ A' = 10cm thì chu kì dao động sẽ là:
A. T' = 2s B. T' = 4s C. T' = 1s D. T' = 3s
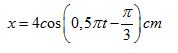
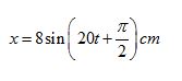
Câu 8. Một con lắc lò xo dao động điều hòa theo phương trình dao động
, thời điểm vật qua vị trí có li độ x = -2cm theo chiều âm lần thứ 2012 kể từ khi vật bắt đầu dao động là
A. 8043,3s B. 4023,3s C. 8046s D. 4026s
Câu 9. Một con lắc lò xo dao động điều hòa với biên độ 6cm và chu kì 1s. Lúc t = 0 vật đi qua vị trí cân bằng theo chiều âm của trục tọa độ. Trong khoảng thời gian 2,375s kể từ thời điểm ban đầu vật đi được quãng đường là
A. 55,76cm B.48cm C. 50cm D. 42cm
Câu 10. Một con lắc đơn được thả không vận tốc đầu từ vị trí có li độ góc α0. Khi con lắc qua vị trí cân bằng thì vận tốc của con lắc được xác định bằng công thức:

Câu 11. Khi nói về mối quan hệ giữa chuyển động tròn đều và dao động điều hòa, đáp án nào sau đây không đúng?
A. Khi chất điểm chuyển động được một vòng thì vật dao động điều hòa thực hiện được một dao động.
B. Tốc độ chuyển động tròn đều bằng tốc độ dao động điều hòa.
C. Tọa độ góc trong chuyển động tròn đều tương ứng với pha ban đầu trong trong dao động điều hòa.
D. Một vật dao động điều hòa có thể được coi như hình chiếu của một chuyển động tròn đều xuống đường thẳng nằm trong mặt phẳng quỹ đạo.
Câu 12. Con lắc đơn dao động với biên độ góc α0. Biết tỉ số lực căng dây max và min là 4. Tìm biên độ góc α0?
A. 300 B.600 C. 450 D. 750
Câu 13. Con lắc lò xo nằm ngang gồm vật nặng có khối lượng m = 100g và lò xo có độ cứng k = 10N/m. Ban đầu giữ vật ở vị trí lò xo nén một đoạn rồi buông nhẹ để vật dao động tắt dần. Hệ số ma sát giữa vật nặng và mặt phẳng ngang là 0,1; lấy g = 10m/s2. Khi vật qua điểm O1 mà tại đó lực đàn hồi cân bằng với lực ma sát thì tốc độ vật đạt được là 60cm/s. Tốc độ vật đạt được khi qua O1 lần thứ hai và quãng đường vật đi được đến khi dừng lại lần lượt là
A. 20√3 cm/s và 24cm. B. 60 cm/s và 24cm. C. 20√3 cm/s và 25cm. D. 20cm/s và 25cm.
Câu 14. Con lắc lò xo nằm ngang, khi khối lượng của quả cầu tăng 4 lần thì tần số của con lắc
A. tăng 4 lần. B. giảm 4 lần. C. giảm 2 lần. D. tăng 2 lần.
Câu 15. Một vật dao động điều hòa theo phương nằm ngang, khi li độ vật bằng 0 thì v = 62,8cm/s; khi li độ vật cực đại thì a = 2 m/s2. Lấy π2 = 10. Thời gian ngắn nhất để vật chuyển động từ x = 0 đến x = -10cm là bao nhiêu?
A.
\(\frac{1}{24}\)s B.
\(\frac{1}{12}\)s C.
\(\frac{1}{6}\)s D.
\(\frac{1}{3}\)s
Câu 16. Tại cùng một vị trí địa lí, hai con lắc đơn có chu kì dao động riêng lần lượt là T1 = 2,5s và T2 = 1,5s; chu kì dao động của con lắc thứ ba có chiều dài bằng độ dài trung bình cộng của chiều dài hai con lắc trên là:
A. 9,28s B. 0,283s C. 2,06s D. 0,00928s
Câu 17. Một con lắc đơn dao động điều hòa với biên độ góc α0. Thế năng của con lắc bằng động năng của nó tại vị trí có li độ góc

Câu 18. Con lắc lò xo nằm ngang gồm vật nặng có khối lượng m = 100g và lò xo có độ cứng k = 0,01N/cm dao động tắt dần chậm từ thời điểm t = 0 vật cách vị trí lò xo không biến dạng 10cm. Trong quá trình dao động, lực cản tác dụng vào vật có độ lớn không đổi 10-3N. Tốc độ lớn nhất của vật sau thời điểm t = 21,4s là
A. 5 cm/s. B. 5,7π cm/s. C. 10 cm/s. D. 5π cm/s.
Câu 19. Chọn câu sai khi nói về dao động điều hòa của một chất điểm
A. Vận tốc trong dao động điều hòa biến thiên cùng tần số góc với li độ.
B. Khi vật đi từ vị trí cân bằng đến vị trí biên, vật chuyển động chậm dần đều.
C. Động năng và thế năng có sự chuyển hóa qua lại lẫn nhau, nhưng cơ năng của vật được bảo toàn.
D. Li độ của một chất điểm dao động điều hòa biến thiên theo định luật dạng cosin hoặc dạng sin theo thời gian.
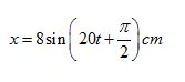
Câu 20. Con lắc lò xo treo thẳng đứng dao động với phương trình:
. Lấy g = 10m/s2. Biết chiều dài lớn nhất của lò xo trong dao động này là 92,5cm. Chiều dài tự nhiên của con lắc này là
A. 84,5cm B. 90cm C. 82cm D. 87cm
Câu 21. Một xe máy chạy trên đường có những mô cao cách đều nhau 5m. Khi xe chạy với tốc độ 15km/h thì xe bị xóc mạnh nhất. Tính chu kì dao động riêng của khung xe
A. 1,2s B. 4,2s C. 2,4s D. 2s
Câu 22. Chu kì biến thiên thế năng của con lắc đơn thì có giá trị bằng
A. một phần ba chu kì dao động. B. một chu kì dao động.
C. hai lần chu kì dao động. D. một phần hai chu kì dao động.
Câu 23. Hãy chọn đáp án đúng khi nói về đặc điểm của dao động cưỡng bức
A. Biên độ của dao động cưỡng bức chỉ phụ thuộc vào biên độ của ngoại lực tuần hoàn.
B. Tần số của dao động cưỡng bức bằng tần số dao động riêng của hệ.
C. Năng lượng mà ngoại lực cung cấp luôn lớn hơn năng lượng bị mất do lực cản của môi trường.
D. Biên độ của dao động cưỡng bức đạt cực đại khi tần số của ngoại lựccưỡng bức bằng tần số dao động riêng của hệ.
Câu 24. Một vật dao động điều hòa với biên độ A. Biết quãng đường ngắn nhất mà vật đi được trong khoảng thời gian T/4 (với T là chu kì dao động) là 11,716cm. Biên độ dao động có giá trị bằng bao nhiêu?
A. 20cm B. 8cm C. 10cm D. 15cm
Câu 25. Một vật có khối lượng m được treo vào một lò xo. Vật dao động điều hòa với tần số f1 = 12Hz. Khi treo thêm một gia trọng ∆m = 10g vào lò xo thì tần số dao động là f2 = 10,95Hz. Khối lượng ban đầu của vật và độ cứng của lò xo lần lượt là:
A. m = 25g, k = 144N/m B. m = 75g, k = 216N/m C. m = 100g, k = 576N/m D. m = 50g, k = 288N/m
Câu 26. Con lắc đơn có chu kì dao động T khi treo con lắc vào trần thang máy đang đứng yên. Cho thang máy đi xuống nhanh dần đều với gia tốc a = g/4 . Gọi T' là chu kì dao động con lắc khi thang máy chuyển động. Tỉ số giữa T và T' là

Câu 27. Trong dao động điều hòa, chất điểm đổi chiều chuyển động khi lực tác dụng
A. đổi chiều. B. có giá trị lớn nhất. C. có giá trị nhỏ nhất. D. bằng 0.
Câu 28. Một con lắc lò xo treo thẳng đứng có độ cứng k = 40N/m, quả cầu có khối lượng m = 100g dao động điều hòa với biên độ A = 3cm. Lấy g = 10m/s2. Lực đàn hồi nhỏ nhất trong quá trình vật dao động là
A. Fmin= 2N B. Fmin = 0,02N C. Fmin = 0,2N D. Fmin = 0N
Câu 29. Khi xảy ra cộng hưởng cơ thì vật tiếp tục dao động
A. với tần số bằng tần số dao động riêng. B. với tần số lớn hơn tần số dao động riêng.
C. mà không chịu ngoại lực tác dụng. D. tần số nhỏ hơn tần số dao động riêng.
Câu 30. Hai con lắc đơn có độ dài của chúng lệch nhau 22cm, dao động ở cùng một nơi. Trong cùng một khoảng thời gian, con lắc thứ nhất thực hiện được 30 dao động toàn phần, con lắc thứ hai thực hiện được 36 dao động toàn phần. Độ dài của các con lắc nhận giá trị nào sau đây:
A. 50cm; 72cm B. 78cm; 110cm C. 72cm; 50cm D. 88cm; 110cm
Câu 31. Một con lắc đơn có m = 100g dao động với biên độ góc 450 tại nơi có g = 10m/s2. Lực căng dây tại vị trí động năng bằng thế năng sẽ là:
A. 1,25N B. 1,52N C. 1,346N D. 1,146N
Câu 32. Đặt con lắc đơn tích điện q = 4.10-7C có chiều dài l = 1m vào trong điện trường đều có phương thẳng đứng hướng xuống có m = 100g. Cường độ E = 25.105V/m và g = 10m/s2. Chu kì dao động của con lắc sẽ là

Câu 33. Chọn câu sai trong các phát biểu sau
A. Đối với con lắc lò xo treo thẳng đứng, lực kéo về có độ lớn cực đại khi lò xo có chiều dài lớn nhất.
B. Chu kì dao động riêng của con lắc lò xo không phụ thuộc vào tọa độ địa lý.
C. Cũng một con lắc lò xo, nếu treo thẳng đứng thì chu kì dao động lớn hơn khi treo nằm ngang.
D. Biên độ dao động con lắc lò xo phụ thuộc vào cách kích thích dao động.
Câu 34. Một con lắc lò xo dao động điều hòa theo phương thẳng đứng. Lò xo có độ cứng k = 40N/m, vật nặng có khối lượng 200g. Ta kéo vật từ vị trí cân bằng hướng xuống một đoạn rồi buông nhẹ cho vật dao động. Viết phương trình dao động của vật, chiều dương của trục tọa độ hướng xuống và lấy gốc tọa độ tại vị trí cân bằng, gốc thời gian là lúc vật bắt đầu dao động

Câu 35. Một vật thực hiện đồng thời hai dao động điều hòa cùng phương cùng tần số có biên độ và pha ban đầu lần lượt là
. Dao động tổng hợp có biên độ là 9cm. Khi A2 có giá trị cực đại thì A1 và A2 có giá trị là:
A. A1 = 9√3; A2=18cm B. A1 = 18cm; A2=9cm
C. A1 = 9√3; A2 = 9cm D. A1 = 9cm; A2 = 9√3
Câu 36. Một con lắc lò xo (vật nặng có khối lượng 100g, lò xo có độ cứng K = 40 N/m) chịu tác dụng của một ngoại lực biến thiên tuần hoàn F = F0cos2πt. Nếu ta tăng tần số của ngoại lực thì biên độ dao động của con lắc lò xo sẽ
A. tăng rồi giảm. B. tăng. C. giảm. D. giảm rồi tăng.
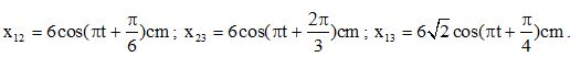
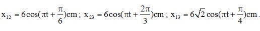
Câu 37. Một vật thực hiện đồng thời 3 dao động điều hòa cùng phương cùng tần số có phương trình là x1, x2, x3. Biết
Khi li độ của dao động x1 đạt giá trị cực đại thì li độ của dao động x3 là
A. 0cm B. 3cm C. 3√2 cm D. 3√6 cm

A. 4cm B.6cm C. 8cm D. (4√2 – 4)cm
Câu 39. Một con lắc lò xo gồm một lò xo có độ cứng 100N/m và một vật có khối lượng 250g, dao động điều hòa với biên độ 6cm. Nếu chọn gốc thời gian t = 0 lúc vật qua vị trí cân bằng, khoảng thời gian vật đi được quãng đường 6cm kể từ lúc vật bắt đầu dao động là

Câu 40. Lập phương trình của một vật dao động điều hòa, biết rằng tại thời điểm ban đầu vật đi qua vị trí x=3cm theo chiều âm; khoảng thời gian ngắn nhất để động năng lại bằng thế năng là 0,25s và quãng đường ngắn nhất để động năng lại bằng 3 lần thế năng là 6cm

Đáp án đề kiểm tra chương 1 Dao động cơ mã đề 156
|
1. D |
11. B |
21. A |
31. D |
|
2. B |
12. B |
22. D |
32. D |
|
3. B |
13. A |
23. D |
33. C |
|
4. C |
14. C |
24. A |
34. C |
|
5. B |
15. C |
25. D |
35. A |
|
6. A |
16. C |
26. A |
36. A |
|
7. A |
17. A |
27. B |
37. A |
|
8. C |
18. B |
28. D |
38. B |
|
9. A |
19. B |
29. A |
39. A |
|
10. B |
20. C |
30. C |
40. D |
Trên đây VnDoc.com vừa giới thiệu tới các bạn Đề kiểm tra chương Dao động cơ. Bài viết cho chúng ta thấy được đề kiểm tra chương Dao động cơ. Mong rằng qua đây các bạn có thể học tập tốt môn Vật lý 12. Để giúp các bạn có thêm nhiều tài liệu học tập hơn nữa, VnDoc.com mời các bạn cùng tham khảo thêm các môn Toán 12, Ngữ văn 12, Tiếng Anh 12, đề thi học kì 1 lớp 12, đề thi học kì 2 lớp 12...