Giao diện mới của VnDoc Pro: Dễ sử dụng hơn - chỉ tập trung vào lớp bạn quan tâm. Vui lòng chọn lớp mà bạn quan tâm: Lưu và trải nghiệm
Đóng
Điểm danh hàng ngày
  • Hôm nay +3
  • Ngày 2 +3
  • Ngày 3 +3
  • Ngày 4 +3
  • Ngày 5 +3
  • Ngày 6 +3
  • Ngày 7 +5
Bạn đã điểm danh Hôm nay và nhận 3 điểm!
Nhắn tin Zalo VNDOC để nhận tư vấn mua gói Thành viên hoặc tải tài liệu Hotline hỗ trợ: 0936 120 169

Câu hỏi trắc nghiệm Vật lý lớp 12: Động lực học vật rắn

Lớp: Lớp 12
Môn: Vật Lý
Loại File: PDF + Word
Phân loại: Tài liệu Tính phí

Trắc nghiệm Vật lý lớp 12: Động lực học vật rắn có đáp án

Câu hỏi trắc nghiệm Vật lý lớp 12: Động lực học vật rắn, là tài liệu tham khảo hay được Vndoc.com sưu tầm nhằm củng cố kiến thức chương động lực học vật rắn thông qua việc giải các câu hỏi trắc nghiệm, đã có đáp án. Mời các bạn tham khảo.

Câu hỏi ôn tập Vật lý lớp 12: Động lực học vật rắn

Chủ đề 1: Chuyển động quay của vật rắn quanh 1 trục cố định

Câu 1: Một vật rắn đang quay xung quanh một trục cố định đi qua vật, một điểm xác định trên vật rắn ở cách trục quay khoảng r ≠ 0 có độ lớn vận tốc dài là một hằng số. Tính chất chuyển động của vật rắn đó là

A. quay đều.

B. quay nhanh dần.

C. quay chậm dần.

D. quay biến đổi đều.

Câu 2: Khi một vật rắn quay đều quanh một trục cố định đi qua vật thì một điểm xác định trên vật ở cách trục quay khoảng r ≠ 0 có

A. vectơ vận tốc dài biến đổi.

B. vectơ vận tốc dài không đổi.

C. độ lớn vận tốc góc biến đổi.

D. độ lớn vận tốc dài biến đổi.

Câu 3: Một vật rắn đang quay đều quanh một trục cố định đi qua vật. Vận tốc dài của một điểm xác định trên vật rắn ở cách trục quay khoảng r ≠ 0 có độ lớn

A.tăng dần theo thời gian.

B. giảm dần theo thời gian.

C. không đổi.

D. biến đổi đều.

Câu 4: Một vật rắn đang quay đều quanh một trục cố định đi qua vật. Một điểm xác định trên vật rắn ở cách trục quay khoảng r ≠ 0 có

A.vận tốc góc biến đổi theo thời gian.

B. vận tốc góc không biến đổi theo thời gian.

C. gia tốc góc biến đổi theo thời gian.

D. gia tốc góc có độ lớn khác không và không đổi theo thời gian.

Câu 5: Một vật rắn đang quay xung quanh một trục cố định xuyên qua vật. Các điểm trên vật rắn (không thuộc trục quay)

A. quay được những góc không bằng nhau trong cùng một khoảng thời gian.

B. ở cùng một thời điểm, không cùng gia tốc góc.

C. ở cùng một thời điểm, có cùng vận tốc dài.

D. ở cùng một thời điểm, có cùng vận tốc góc.

Câu 6: Phát biểu nào sau đây là không đúng đối với chuyển động quay đều của vật rắn quanh một trục ?

A. Tốc độ góc là một hàm bậc nhất của thời gian.

B. Gia tốc góc của vật bằng 0.

C. Trong những khoảng thời gian bằng nhau, vật quay được những góc bằng nhau.

D. Phương trình chuyển động (phương trình toạ độ góc) là một hàm bậc nhất của thời gian.

Câu 7: Phát biểu nào sau đây là không đúng đối với chuyển động quay nhanh dần đều của vật rắn quanh một trục?

A. Tốc độ góc là một hàm bậc nhất của thời gian.

B. Gia tốc góc của vật là không đổi và khác 0.

C. Trong những khoảng thời gian bằng nhau, vật quay được những góc không bằng nhau.

D. Phương trình chuyển động (phương trình toạ độ góc) là một hàm bậc nhất của thời gian.

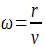
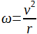
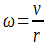
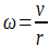
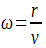
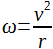
Câu 8: Khi vật rắn quay đều quanh một trục cố định thì một điểm trên vật rắn cách trục quay một khoảng r có tốc độ dài là v. Tốc độ góc ω của vật rắn là

A. Câu hỏi trắc nghiệm Vật lý lớp 12

B.Câu hỏi trắc nghiệm môn Vật lý lớp 12

C.Câu hỏi trắc nghiệm môn Vật lý lớp 12

D.Câu hỏi trắc nghiệm môn Vật lý lớp 12
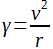
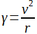
Câu 9: Khi vật rắn quay đều quanh một trục cố định với tốc độ góc ω (ω = hằng số) thì một điểm trên vật rắn cách trục quay một khoảng r có tốc độ dài là v. Gia tốc góc γ của vật rắn là
A. y = 0

B.Câu hỏi trắc nghiệm môn Vật lý lớp 12

C. Câu hỏi trắc nghiệm môn Vật lý lớp 12

D.Câu hỏi trắc nghiệm môn Vật lý lớp 12
Câu 10: Hai học sinh A và B đứng trên chiếc đu đang quay tròn, A ở ngoài rìa, B ở cách tâm một đoạn bằng nửa bán kính của đu. Gọi ωA, ωB, γA, γB lần lượt là tốc độ góc và gia tốc góc của A và B. Kết luận nào sau đây là đúng ?

A.ωA = ωB, γA = γB.

B. ωA > ωB, γA > γB.

C. ωA < ωB, γA = 2γB.

D. ωA = ωB, γA > γB.

Câu 11: Hai học sinh A và B đứng trên chiếc đu đang quay tròn đều, A ở ngoài rìa, B ở cách tâm một đoạn bằng nửa bán kính của đu. Gọi vA, vB, aA, aB lần lượt là tốc độ dài và gia tốc dài của A và B. Kết luận nào sau đây là đúng ?

A.vA = vB, aA = 2aB.

B. vA = 2vB, aA = 2aB.

C. vA = 0,5vB, aA = aB.

D. vA = 2vB, aA = aB.

Câu 12: Một cánh quạt dài 20 cm, quay với tốc độ góc không đổi ω = 112 rad/s. Tốc độ dài của một điểm ở trên cánh quạt và cách trục quay của cánh quạt một đoạn 15 cm là

A. 22,4 m/s.

B. 2240 m/s.

C. 16,8 m/s.

D. 1680 m/s.

Câu 13: Một cánh quạt dài 20 cm, quay với tốc độ góc không đổi ω = 90 rad/s. Gia tốc dài của một điểm ở vành cánh quạt bằng

A. 18 m/s2.

B. 1800 m/s2.

C. 1620 m/s2.

D. 162000 m/s2.

Câu 14: Một cánh quạt của máy phát điện chạy bằng sức gió có đường kính khoảng 80 m, quay đều với tốc độ 45 vòng/phút. Tốc độ dài tại một điểm nằm ở vành cánh quạt bằng

A. 3600 m/s.

B. 1800 m/s.

C. 188,4 m/s.

D. 376,8 m/s.

Câu 15: Một bánh quay nhanh dần đều quanh trục cố định với gia tốc góc 0,5 rad/s2. Tại thời điểm 0 s thì bánh xe có tốc độ góc 2 rad/s. Hỏi đến thời điểm 6 s thì bánh xe có tốc độ góc bằng bao nhiêu ?

A. 3 rad/s.

B. 5 rad/s.

C. 11 rad/s.

D. 12 rad/s.

Câu 16: Từ trạng thái đứng yên, một bánh xe bắt đầu quay nhanh dần đều quanh trục cố định và sau 2 giây thì bánh xe đạt tốc độ 3 vòng/giây. Gia tốc góc của bánh xe là

A. 1,5 rad/s2.

B. 9,4 rad/s2.

C. 18,8 rad/s2.

D. 4,7 rad/s2.

Câu 17: Một cánh quạt dài 22 cm đang quay với tốc độ 15,92 vòng/s thì bắt đầu quay chậm dần đều và dừng lại sau thời gian 10 giây. Gia tốc góc của cánh quạt đó có độ lớn bằng bao nhiêu ?

A. 10 rad/s2.

B. 100 rad/s2.

C. 1,59 rad/s2.

D. 350 rad/s2.

Câu 18: Tại thời điểm t = 0, một vật rắn bắt đầu quay quanh một trục cố định xuyên qua vật với gia tốc góc không đổi. Sau 4 s nó quay được một góc 20 rad. Góc mà vật rắn quay được từ thời điểm 0 s đến thời điểm 6 s là

A. 15 rad.

B. 30 rad.

C. 45 rad.

D. 90 rad.

Câu 19: Một vật rắn đang quay quanh một trục cố định xuyên qua vật với tốc độ góc 20 rad/s thì bắt đầu quay chậm dần đều và dừng lại sau 4 s. Góc mà vật rắn quay được trong 1 s cuối cùng trước khi dừng lại (giây thứ tư tính từ lúc bắt đầu quay chậm dần) là

A. 37,5 rad.

B. 2,5 rad.

C. 17,5 rad.

D. 10 rad.

Câu 20: Một vật rắn quay quanh một trục cố định xuyên qua vật với phương trình toạ độ góc : câu hỏi trắc nghiệm môn vật lý lớp 12, trong đó Câu hỏi trắc nghiệm môn Vật lý lớp 12tính bằng rađian (rad) và t tính bằng giây (s). Gia tốc góc của vật rắn bằng

A. Câu hỏi trắc nghiệm môn vật lý lớp 12rad/s2.

B. 0,5 rad/s2.

C. 1 rad/s2.

D. 2 rad/s

Câu 21: Một vật rắn quay quanh một trục cố định xuyên qua vật với phương trình tốc độ góc: ω=2+0.5t, trong đó ω tính bằng rađian/giây (rad/s) và t tính bằng giây (s). Gia tốc góc của vật rắn bằng

A. 2 rad/s2.

B. 0,5 rad/s2.

C. 1 rad/s2.

D. 0,25 rad/s2.

Câu 22: Một vật rắn quay quanh một trục cố định xuyên qua vật với phương trình toạ độ góc: Φ=1,5+0,5t, trong đó Φ tính bằng rađian (rad) và t tính bằng giây (s). Một điểm trên vật và cách trục quay khoảng r = 4 cm thì có tốc độ dài bằng

A. 2 cm/s.

B. 4 cm/s.

C. 6 cm/s.

D. 8 cm/s.

Câu 23: Một vật rắn quay quanh một trục cố định xuyên qua vật. Góc quay φ của vật rắn biến thiên theo thời gian t theo phương trình: Φ = 2+2t+t2, trong đó Φ tính bằng rađian (rad) và t tính bằng giây (s). Một điểm trên vật rắn và cách trục quay khoảng r = 10 cm thì có tốc độ dài bằng bao nhiêu vào thời điểm t = 1s?

A. 0,4 m/s.

B. 50 m/s.

C. 0,5 m/s.

D. 40 m/s.

Câu 24: Phương trình nào dưới đây diễn tả mối liên hệ giữa tốc độ góc ω và thời gian t trong chuyển động quay nhanh dần đều quanh một trục cố định của một vật rắn?

A. ω = 2+4t (rad/s).

B. ω = 3-2t (rad/s).

C. ω = 2+4t+2t2 (rad/s).

D. ω = 3-2t+4t2 (rad/s).

Câu 25: Một vật rắn quay quanh một trục cố định xuyên qua vật. Góc quay φ của vật rắn biến thiên theo thời gian t theo phương trình: Φ = \pi+t+t^2\(\pi+t+t^2\), trong đó Φ tính bằng rađian (rad) và t tính bằng giây (s). Một điểm trên vật rắn và cách trục quay khoảng r = 10 cm thì có gia tốc dài (gia tốc toàn phần) có độ lớn bằng bao nhiêu vào thời điểm t = 1 s?

A. 0,92 m/s2.

B. 0,20 m/s2.

C. 0,90 m/s2.

D. 1,10 m/s2.

Câu 26: Một bánh đà đang quay với tốc độ 3 000 vòng/phút thì bắt đầu quay chậm dần đều với gia tốc góc có độ lớn bằng 20,9 rad/s2. Tính từ lúc bắt đầu quay chậm dần đều, hỏi sau khoảng bao lâu thì bánh đà dừng lại?

A. 143 s.

B. 901 s.

C. 15 s.

D. 2,4 s.

Câu 27: Rôto của một động cơ quay đều, cứ mỗi phút quay được 3 000 vòng. Trong 20 giây, rôto quay được một góc bằng bao nhiêu?

A. 6283 rad.

B. 314 rad.

C. 3142 rad.

D. 942 rad.

Câu 27: Bánh đà của một động cơ từ lúc khởi động đến lúc đạt tốc độ góc 140 rad/s phải mất 2,5 s. Biết bánh đà quay nhanh dần đều. Góc quay của bánh đà trong thời gian trên bằng

A. 175 rad.

B. 350 rad.

C. 70 rad.

D. 56 rad.

Câu 28: Một bánh xe có đường kính 50 cm quay nhanh dần đều từ trạng thái đứng yên, sau 4s thì tốc độ góc đạt 120 vòng/phút. Gia tốc hướng tâm của điểm ở vành bánh xe sau khi tăng tốc được 2 s từ trạng thái đứng yên là

A. 157,9 m/s2.

B. 315,8 m/s2.

C. 25,1 m/s2.

D. 39,4 m/s2.

Câu 29: Một chiếc đồng hồ có các kim quay đều quanh một trục. Gọi ωh, ωm và ωs lần lượt là tốc độ góc của kim giờ, kim phút và kim giây. Khi đồng hồ chạy đúng thì

A. ω= 1/12 ωm = 1/60 ωs

B. ωh = 1/12 ωm = 1/720 ωs

C. ωh = 1/60 ωm = 1/3600 ωs

D. ωh = 1/24 ωm = 1/3600 ωs

Câu 30: Một chiếc đồng hồ có các kim quay đều quanh một trục và kim giờ dài bằng ¾ kim phút. Khi đồng hồ chạy đúng thì tốc độ dài vh của đầu mút kim giờ như thế nào với tốc độ dài vm của đầu mút kim phút

A. vh = 3/4 vm

B. vh = 1/16 vm

C. vh = 1/60 vm

D. vh = 1/80 vm

Câu 31: Một chiếc đồng hồ có các kim quay đều quanh một trục và kim giờ dài bằng 3/5 kim giây. Khi đồng hồ chạy đúng thì tốc độ dài vh của đầu mút kim giờ như thế nào với tốc độ dài vs của đầu mút kim giây?

A. vh = 3/4 vs

B. vh = 1/1200 vs

C. vh = 1/720 vs

D. vh = 1/6000 vs

Chủ đề 2: Phương trình của động lực học vật rắn quay quanh một trục cố định

Câu 1: Đại lượng đặc trưng cho tác dụng làm quay của lực đối với vật rắn có trục quay cố định được gọi là:

A. momen lực.

B. momen quán tính.

C. momen động lượng.

D. momen quay.

Câu 2: Momen của lực tác dụng vào vật rắn có trục quay cố định là đại lượng đặc trưng cho

A. mức quán tính của vật rắn.

B. năng lượng chuyển động quay của vật rắn.

C. tác dụng làm quay của lực.

D. khả năng bảo toàn vận tốc của vật rắn.

Câu 3: Momen quán tính của một vật rắn không phụ thuộc vào

A. khối lượng của vật.

B. kích thước và hình dạng của vật.

C. vị trí trục quay của vật.

D. tốc độ góc của vật.

Câu 4: Một bánh xe đang quay đều xung quanh trục của nó. Tác dụng lên vành bánh xe một lực vecto F theo phương tiếp tuyến với vành bánh xe thì

A. tốc độ góc của bánh xe có độ lớn tăng lên.

B. tốc độ góc của bánh xe có độ lớn giảm xuống.

C. gia tốc góc của bánh xe có độ lớn tăng lên.

D. gia tốc góc của bánh xe có độ lớn giảm xuống.

Câu 5: Một momen lực không đổi tác dụng vào một vật có trục quay cố định. Trong các đại lượng: momen quán tính, khối lượng, tốc độ góc và gia tốc góc, thì đại lượng nào không phải là một hằng số ?

A. Momen quán tính.

B. Khối lượng.

C. Tốc độ góc.

D. Gia tốc góc.

Trên đây VnDoc.com vừa giới thiệu tới các bạn Câu hỏi trắc nghiệm Vật lý lớp 12: Động lực học vật rắn, mong rằng qua đây các bạn có thể học tập tốt môn Vật lý 12. Mời các bạn cùng tham khảo thêm các môn Toán 12, Ngữ văn 12, Tiếng Anh 12, đề thi học kì 1 lớp 12, đề thi học kì 2 lớp 12...

Mời bạn đọc cùng tham gia nhóm Tài liệu học tập lớp 12 để có thêm tài liệu học tập nhé

Chọn file muốn tải về:
Đóng Chỉ thành viên VnDoc PRO/PROPLUS tải được nội dung này!
Đóng
79.000 / tháng
Đặc quyền các gói Thành viên
PRO
Phổ biến nhất
PRO+
Tải tài liệu Cao cấp 1 Lớp
30 lượt tải tài liệu
Xem nội dung bài viết
Trải nghiệm Không quảng cáo
Làm bài trắc nghiệm không giới hạn
Mua cả năm Tiết kiệm tới 48%

Có thể bạn quan tâm

Xác thực tài khoản!

Theo Nghị định 147/2024/ND-CP, bạn cần xác thực tài khoản trước khi sử dụng tính năng này. Chúng tôi sẽ gửi mã xác thực qua SMS hoặc Zalo tới số điện thoại mà bạn nhập dưới đây:

Số điện thoại chưa đúng định dạng!
Số điện thoại này đã được xác thực!
Bạn có thể dùng Sđt này đăng nhập tại đây!
Lỗi gửi SMS, liên hệ Admin
Sắp xếp theo
🖼️

Trắc nghiệm Vật lí 12

Xem thêm
🖼️

Gợi ý cho bạn

Xem thêm