Đề thi thử THPT Quốc gia môn Toán lần 3 năm 2015 trường THPT Quỳnh Lưu 1, Nghệ An
Đề thi thử THPT Quốc gia môn Toán lần 3 năm 2015 trường THPT Quỳnh Lưu 1, Nghệ An là tài liệu luyện thi đại học môn Toán hay mà các bạn có thể luyện đề thi thử đại học, làm đề thi thử tốt nghiệp môn Toán mà VnDoc xin được giới thiệu đến các bạn, giúp các bạn ôn thi THPT Quốc gia môn Toán được hiệu quả cao nhất.
Đề thi thử THPT Quốc gia môn Toán
| SỞ GD & ĐT NGHỆ AN TRƯỜNG THPT QUỲNH LƯU 1 |
ĐỀ KHẢO SÁT CHẤT LƯỢNG ÔN THI THPT QUỐC GIA LẦN 3 - NĂM 2015 Môn: TOÁN Thời gian làm bài: 180 phút (Không kể thời gian giao đề) |
Câu 1 (2,0 điểm). Cho hàm số y = x³ + 6x² + 9 (C).
a) Khảo sát sự biến thiên và vẽ đồ thị của hàm số (C).
b) Viết phương trình tiếp tuyến với (C) tại M là giao điểm của (C) với (P): 2x² + x + 1.
Câu 2 (1,0 điểm).
a) Giải phương trình: 2log2√(x+1) = 2 - log2(x-2)
b) Giải phương trình: cos2x - √3sin4x = 2cos3xcosx + 1
Câu 3 (1,0 điểm).
a) Tìm phần thực của số phức z thỏa mãn:
![]()
b) Gọi S là tập hợp tất cả số tự nhiên có 5 chữ số khác nhau được lập từ các số{0; 1; 2; 3; 4; 5; 6}. Chọn ngẫu nhiên một số từ S, tính xác suất để số được chọn là một số không chia hết cho 5.
Câu 4 (1,0 điểm). Tính tích phân:

Câu 5 (1,0 điểm). Trong không gian với hệ tọa độ Oxyz, cho mặt phẳng (P) x - 2y + 2z - 6 = 0 và mặt cầu (S): x² + y² + z² - 2x - 8y - 4z + 12 = 0. Chứng minh rằng (S) tiếp xúc (P). Viết phương trình đường thẳng d nằm trong (P), tiếp xúc (S) và vuông góc với trục Oz.
Câu 6 (1,0 điểm). Cho hình chóp S.ABCD, đáy ABCD là hình vuông cạnh a, khoảng cách giữa hai đường thẳng AD và SB bằng a√2/2 và góc SBC = góc SDC = 90o. Chứng minh SA vuông góc với mặt đáy và tính khoảng cách giữa hai đường thẳng AC và SB.
Câu 7 (1,0 điểm). Trong mặt phẳng với toạ độ Oxy, cho hình thang ABCD vuông tại A và D có AB = AD < CD, điểm B(1;2), đường thẳng BD có phương trình y = 2 . Biết rằng đường thẳng (d): 7x - y - 25 = 0 lần lượt cắt các đoạn thẳng AD và CD theo thứ tự tại M và N sao cho BM vuông góc BC và tia BN là tia phân giác của góc MBC. Tìm toạ độ đỉnh D (với hoành độ của D là số dương).
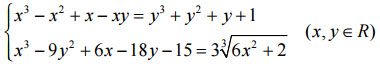
Câu 8 (1 điểm). Giải hệ phương trình

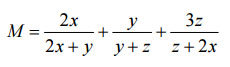
Câu 9 (1 điểm) Cho các số dương x y z, thỏa mãn y² ≥ 2xz; z² ≥ 2xy.
Tìm giá trị nhỏ nhất của biểu thức

………………HẾT………………
Họ và tên thí sinh: ............................................................ Số báo danh: ............................