Đề thi thử THPT Quốc gia năm 2016 môn Toán trường THPT Hiền Đa, Phú Thọ (Lần 1)
Đề thi thử THPT Quốc gia năm 2016 môn Toán
Đề thi thử THPT Quốc gia năm 2016 môn Toán trường THPT Hiền Đa, Phú Thọ (Lần 1) là đề thi thử đại học 2016 môn Toán dành cho các bạn thí sinh cùng tham khảo, luyện tập nhằm củng cố kiến thức, ôn thi THPT Quốc gia môn Toán hiệu quả. Đề thi có đáp án đi kèm, hi vọng sẽ giúp các bạn đạt kết quả cao trong bài thi sắp diễn ra.
Đề thi thử THPT Quốc gia năm 2016 môn Toán trường THPT Lý Thường Kiệt, Bình Thuận (Lần 1)
Đề thi thử THPT Quốc gia năm 2016 môn Toán trường THPT Chuyên Khoa học Tự nhiên, Hà Nội (Lần 1)
|
SỞ GD & ĐT PHÚ THO |
KÌ THI THỬ THPT QUỐC GIA LẦN I NĂM HOC 2015-2016 MÔN THI: TOÁN Thời gian làm bài: 180 phút không kể thời gian giao đề |
Câu 1 (1 điểm) Khảo sát sự biến thiên và vẽ đồ thị hàm số y = x3 - 3x2 + 2 (C).
Câu 2 (1 điểm) Viết phương trình tiếp tuyến của đường cong (C) có phương trình y = x3 - 3x2 + 2 tại điểm có hoành độ bằng 2.
Câu 3 (1 điểm)
a) Cho góc α thỏa mãn π/2 < α < π và sinα = 4/5. Tính A = cos(α + π/6)
b) Tính modun của số phức z biết ![]()
Câu 4 (1 điểm)
a) Giải phương trình sau: log3(x2 + x + 3) = 2.
b) Đội học sinh giỏi cấp trường môn tiếng Anh Trường THPT Hiền Đa theo từng khối là như sau: khối 10 có 5 học sinh, khối 11 có 5 học sinh và khối 12 có 5 học sinh. Nhà trường cần chọn một đội tuyển gồm 10 học sinh tham gia thi IOE cấp tỉnh. Tính xác suất để đội lập được có học sinh cả ba khối và có nhiều nhất 2 học sinh lớp 10.
Câu 5 (1 điểm) Tính tích phân sau
.
Câu 6 (1 điểm) Trong không gian với hệ tọa độ Oxyz cho ba điểm A(1;1;2), B(-1;2;1), C(2;-1;0). Viết phương trình mặt phẳng (ABC). Viết phương trình mặt cầu (S) có tâm I(1;-2;3) và tiếp xúc với mặt phẳng (ABC).
Câu 7 (1 điểm) Cho hình chóp đều S.ABC có các cạnh đáy bằng a, góc giữa cạnh bên với mặt đáy là 60o; gọi E là trung điểm của BC. Tính thể tích khối chóp S.ABC và khoảng cách giữa hai đường thẳng AE và SC.
Câu 8 (1 điểm) Trong mặt phẳng với hệ tọa độ Oxy Cho tam giác ABC nội tiếp trong đường tròn tâm I; có đỉnh A thuộc đường thẳng d: x + y - 2 = 0, D(2;-1) là chân đường cao của tam giác ABC hạ từ đỉnh A. Gọi điểm E(3;1) là chân đường vuông góc hạ từ B xuống AI; điểm P(2;1) thuộc đường thẳng AC. Tìm tọa độ các đỉnh của tam giác ABC.
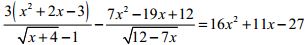
Câu 9 (1 điểm) Giải phương trình sau trên tập số thực:
![]()
Câu 10 (1 điểm) Cho ba số thực dương a, b, c thỏa mãn: (a + c).(b + c) = 4c2. Tìm giá trị nhỏ nhất của biểu thức sau: ![]()
Đáp án đề thi thử THPT Quốc gia năm 2016 môn Toán






