Đề thi thử vào lớp 10 môn Toán lần 1 năm 2015-2016 trường THCS TT Nghĩa Đàn, Nghệ An
Đề thi thử vào lớp 10 môn Toán lần 1 năm 2015-2016 trường THCS TT Nghĩa Đàn, Nghệ An là đề thi thử vào lớp 10 môn Toán có đáp án dành cho các bạn tham khảo, luyện đề thi vào lớp 10 môn Toán các trường nắm chắc cách ra đề và tham khảo các câu hỏi khó trong các đề thi. Mời các bạn tham khảo.
Tổng hợp đề thi vào lớp 10 được tải nhiều nhất
Đề thi vào lớp 10 THPT môn Toán của thành phố Hà Nội từ năm 1988 đến năm 2013
Đề thi thử vào lớp 10 môn Ngữ Văn năm học 2014-2015 trường THCS Đáp Cầu, Bắc Ninh
Đề thi thử vào lớp 10 môn Toán
PHÒNG GD&ĐT HUYỆN NGHĨA ĐÀN
TRƯỜNG THCS TT NGHĨA ĐÀN
ĐỀ THI THỬ VÀO LỚP 10 MÔN TOÁN LẦN I
TRƯỜNG THCS TT NGHĨA ĐÀN NĂM HỌC 2015- 2016
(Thời gian làm bài: 120 phút)
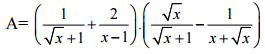
Bài 1: (2,5 điểm) Cho biểu thức:

- Tìm điều kiện của x để A có nghĩa và rút gọn A.
- Tính giá trị của A khi x = 4 - 2√3
- Tìm giá trị nhỏ nhất của B = (x + 9) A – 5
Bài 2: (2 điểm) Giải bài toán sau bằng cách lập phương trình hoặc hệ phương trình
Hai người thợ cùng làm chung một công việc trong 18 giờ thì xong. Nếu người thứ nhất làm riêng trong 8 giờ và người thứ hai làm riêng trong 6 giờ thì cả hai làm được 40% công việc. Hỏi mỗi người làm công việc đó một mình thì trong bao lâu sẽ hoàn thành công việc.
Bài 3: (2 điểm) Cho phương trình: x² + (4m + 1)x + 2(m - 4) = 0 (1) (m là tham số).
- Giải phương trình khi m = 1
- Tìm m sao cho phương trình (1) có hai nghiệm x1, x2 thỏa mãn: x1 – x2 = 17.
Bài 4: (3,5 điểm)
Cho đường tròn (O) đường kính AB = 2R, C là trung điểm của OA và dây MN vuông góc với OA tại C. Gọi K là điểm tùy ý trên cung nhỏ BM, H là giao điểm của AK và MN.
- Chứng minh tứ giác BCHK nội tiếp.
- Tính tích AH. AK theo R.
- Xác định vị trí của điểm K để tổng (KM + KN + KB) đạt giá trị lớn nhất và tính giá trị lớn nhất đó.
…………HẾT…………
Đáp án đề thi thử vào lớp 10 môn Toán
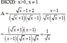
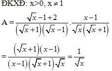
Bài 1: 1,

2, x = 4 - 2√3 = (√3 -1)² → √x = √3 -1, thay vào A ta được:
A = 1/(√3 - 1) = (√3 + 1)/2.
3, B = (x + 9).1/√x - 5 = (x + 9)/√x - 5 = √x + 9/√x - 5.
Áp dụng bất đẳng thức Cô-si cho hai số không âm √x và 9/√x ta được:
![]()
Dấu bằng xảy ra khi √x = 9/√x. Vậy Min B = 1 ↔ x = 9.